支模脚手架高处作业因其作业难度大、所处环境复杂、危险源种类多等特点而成为施工现场事故多发点,特别是近年来我国投资建成了许多楼层高、跨度大、梁截面变化大的复杂建筑物,采用超常规高大支模脚手架体系的情况越来越多,进一步增强其事故发生的频率,其中最具代表性的是高处坠落事故的发生[1].通过统计2014~2017年间发生的建筑工程高处坠落事故,得出因支模脚手架引发的高处坠落事故占总事故数的52.71%,占死亡数的46.81%.因此,分析并找出导致支模脚手架高处坠落事故的关键致灾因素及因素间复杂的逻辑关系,由此针对性地采取预防措施,成为预防并减少支模脚手架高处坠落事故发生的重要环节.
对支模脚手架高处坠落事故致灾因素的研究方法一直受到国内外学者的广泛关注.国内学者王孙梦等[2]将层次分析法与灰色关联理论相结合对致灾因素进行分析;李艳庆等[3]提出采用模糊定量评估与安全评价理念对坠落事故进行定量分析;国外学者Pratama等[4]采用统计分析与可靠度模拟对引发高处坠落事故的直接及间接因素进行分析.这些研究方法均侧重于从人、物、环、管角度寻找关键致灾因素,而对致灾因素间复杂的逻辑关系研究较少.本文以近三年内发生的支模脚手架高处坠落事故为依据,结合文献分析与专家调查法构建支模脚手架高处坠落事故致灾因素体系,并采用DEMATEL和ISM混合建模的方法对致灾因素进行类型归类、影响强度评判及内在联系与层次结构的梳理,进而为针对性地制定防范措施与有效预防支模脚手架高处坠落事故的发生提供思路与管理手段.
本文通过对近三年国内发生的支模脚手架高处坠落事故致灾因素进行统计分析,在删除所调查事故中出现频率小于3次,同时合并相似及包含关系因素的基础上,结合查阅相关文献与专家咨询法所获得的补充因素,最终确定了基于DEMATEL和ISM分析的支模脚手架高处坠落事故致灾因素体系,如图1所示.该因素体系可归为两大类:一是施工人员在架体上从事高处作业时发生不慎坠落;二是发生高处坠落时安全措施失效,未起到安全防护作用[5].以上两类因素可作为诱发高处坠落事故的中间事件.
图1 支模脚手架高处坠落事故致灾因素体系
Fig.1 System of caused factors for high falling accident from formwork falsework
在不慎坠落层面与安全措施失效层面,共包含13个致灾因素,其中,工人生理心理状态欠佳与安全文化及氛围缺失通过查阅相关文献获取,对施工方案及操作技能不熟悉与未及时进行隐患排查及验收通过专家咨询获取,其余因素则通过对支模脚手架高处坠落事故调查分析获取.上述因素在某种程度上存在一定的关联性,并非完全独立,但其侧重点不同且具有一定的差异,仍必须作为一个独立分支.此外,这些因素中有导致高处坠落事故的直接原因和间接原因,以及主观原因与客观原因,较为全面地包含了引发支模脚手架高处坠落事故的致灾因素.
决策试验与评价实验法(decision making trial and evaluation laboratory,DEMATEL)最初于20世纪70年代由美国学者Fontela和Gabus提出,该方法对系统各因素间逻辑关系的建立运用到了图论与矩阵论原理,通过构建因素间的直接影响矩阵,计算各因素间的影响度、被影响度,以及因素本身的中心度与原因度,进而对各因素进行归类及影响强度的评判[6].解释结构模型(interpretative structural modeling,ISM)于1973年由美国John.Warfield教授提出,该方法着眼于分析影响因素众多且关系复杂的系统,通过构造邻接矩阵并经过一系列分解运算,可将各致灾因素划分为若干层次,在明确各因素间逻辑关系的基础上构造结构化、条理化的多层递阶结构模型,为系统要素选择及要素分析提供方法手段[7].
本文将两种建模方法相结合,既可以确定系统中关键因素及因素种类,又可以明确因素间的逻辑关系与层次结构,为复杂系统定量分析与科学决策奠定基础.图2为基于二者的混合建模流程图,对二者进行混合建模的步骤[8-9]如下:
1) 确定复杂系统致灾因素集C={Ci|i=1,2,…,n}.
2) 设定因素间影响关系标度值.依据具体分析对象的不同设定不同等级的影响标度,通过向业内人士发放问卷调查的形式确定各致灾因素间的相互影响程度,并在统计分析的基础上得到直接影响平均关系矩阵R=(rij)n×n.其中,rij为行因素对列因素的影响程度值,当i=j时,rij=0.
3) 标准化直接影响关系矩阵.对直接影响平均关系矩阵进行标准化处理可得标准化直接影响矩阵![]()
4) 求解综合影响矩阵T.综合影响矩阵将各因素间的直接影响与间接影响进行叠加,能够更为全面地反映因素间的相互影响关系.其中T=(tij)n×n=B+B2+…+Bn=B
,I为单位矩阵.
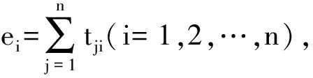
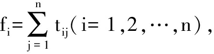
5) 在求得综合影响矩阵的基础上,可计算出各致灾因素对其他因素的影响程度
受其他因素的影响程度
各自的重要性程度ri=fi+ei以及其他因素间的因果逻辑关系程度zi=fi-ei.其中,fi代表影响度,ei代表被影响度,ri代表中心度,zi代表原因度.
6) 在步骤4)中求得综合影响矩阵T的基础上,通过T+I可求得整体影响矩阵H.设定合理的阈值λ,进而确定ISM模型中的可达矩阵K=(kij)n×n.其中,kij的取值规则为:当hij>λ时,kij=1,代表因素Ci对因素Cj有直接影响;当hij≤λ时,kij=0,代表因素Ci对因素Cj无直接影响.
7) 各因素按级别分配,生成多层递接结构模型.通过求解可达集合P(Ci)={Cj|Cj∈C,kij=1}与前因集合Q(Ci)={Cj|Cj∈C,kji=1}及二者的交集,可求得底层致灾因素.将可达矩阵中对应底层致灾因素的行与列划去,继续求解划去后可达矩阵的可达集合与前因集合及交集,直到所有因素被划去为止.
图2 混合建模流程图
Fig.2 Flow chart of hybrid modeling
在对支模脚手架高处坠落事故各致灾因素间影响程度数据的收集上,本文采用特尔菲法(Delphi)即专家调查法,其索取信息的对象是专家学者,依靠专家学者的学识与经验对所调查的问题作出评估和预测的一种方法[10].本文通过对具备支模脚手架领域相关专业知识和工作经验的30位专家学者发放调查问卷,设定因素间影响关系标度值按0(无影响)、1(低影响)、2(中影响)、3(高影响)数值打分,并依据其专业、职称、学历三个标准设置相应的权重,最后将30位专家学者对因素间影响关系标度值与其对应的权重值相乘,进而得到所需目标值.
表1为发放的问卷调查表.通过该表可搜集各专家对因素间影响程度的打分值.其中专业、职称、学历为划分项目,各项目细分项为项目级别.
表1 问卷调查表
Tab.1 Questionnaire
姓名:专业:模架领域□;其他土建领域□;管理方向□职称:高级工程师□;工程师□;助理工程师□学历:博士□;硕士□;学士□致灾因素C1C2…C13C10C20︙C130备注:请按0(无影响)、1(低影响)、2(中影响)、3(高影响)数值为各致灾因素间的相互影响程度打分,感谢您的配合
表2为依据项目及项目级别所占比重计算而得出的各专家权重分值.第k位专家的评分权重为Wk=
其中,Ui为项目权重,Vij为级别权重[11].
表2 各类型专家权重得分表
Tab.2 Weight score for various types of experts
专业U1职称U2学历U3权重得分模架工程领域V11其他土建工程方向V12项目管理方向V13高级工程师V21工程师V22助理工程师V23高级工程师V21工程师V22助理工程师V23高级工程师V21工程师V22助理工程师V232名博士V311.006名硕士V320.962名学士V330.861名学士V330.803名硕士V320.764名硕士V320.702名学士V330.662名学士V330.602名博士V310.703名硕士V320.602名学士V330.561名硕士V320.54
在求得各类型专家权重得分值后,将其权重得分值与对因素间影响关系标度值相乘,得到最终影响程度值,在对各专家最终影响程度值加权平均计算的基础上可求得直接影响平均关系矩阵,即

在通过特尔菲法与调查问卷得到各因素间直接影响平均关系矩阵的基础上,对该矩阵进行标准化处理得到矩阵B,进而可求得综合影响矩阵T及整体影响矩阵H,即
在求得综合影响矩阵T的基础上,依据混合建模方法中的步骤5)可依次算出影响度、被影响度、中心度和原因度,其计算结果如表3所示.
表3 各致灾因素DEMATEL分析结果
Tab.3 DEMATEL analysis results of various caused factors
致灾因素影响度f被影响度e中心度r原因度zC10.9710.6101.581 0.361C20.8001.2892.089-0.489C31.7510.3092.0601.442C41.8620.0931.9551.769C51.1350.2281.3630.908C60.3261.7962.122-1.471C71.5110.3101.8211.201C80.6821.0591.741-0.377C90.5201.1821.702-0.662C100.3861.4281.814-1.043C110.6081.9622.570-1.353C120.5781.0591.637-0.481C130.8500.6541.5040.196
在对支模脚手架高处坠落事故致灾因素的ISM建模过程中,其首要前提是构建可达矩阵,本文在混合建模方法步聚6)中已阐明如何依据整体影响矩阵H构建可达矩阵,其关键环节是确定阈值λ,而λ取值的目的是为了简化整体影响矩阵,将因素间的影响程度关系直接转化为因素间影响关系的存在性,因此,对于支模脚手架高处坠落事故致灾因素复杂,且各因素间逻辑关系不明确的情况,通过ISM法可简化各因素间复杂的逻辑关系并找出关键致灾因素.本文基于该理念在对λ取值时分别令λ=0.085与λ=0.1两种情况进行试算.当取λ=0.085时得到的多层递阶结构模型较为复杂,各结构层次因素间逻辑关系不明确且较为零散,而取λ=0.1时构建的多层递阶结构模型在各因素间的逻辑层面较为合理.现将λ=0.1时构建的ISM模型进行阐述,其所对应的可达矩阵为
在构建好可达矩阵的基础上,依据混合建模方法中的步骤7)对可达矩阵进行层次化处理.表4为第一层致灾因素集分解表.其余各层因素分解表因篇幅有限,不在此赘述,其各层次划分结果为:L1={C6、C11};L2={C10、C12};L3={C9};L4={C2、C13};L5={C1、C5};L6={C7、C8};L7={C3};L8={C4}.
表4 第一层致灾因素分解表
Tab.4 Decomposition of caused factors in first level
因素Ci可达集合P(Ci)前因集合Q(Ci)交集抽取因素11,2,6,9,10,11,121,8122,6,9,10,11,121,2,3,4,5,7,8232,3,6,7,9,10,11,12,133,4,73,742,3,4,6,7,9,10,11,12,134452,5,6,9,10,11,125566,111,2,3,4,5,6,7,8,9,13672,3,6,7,9,10,11,123,4,73,781,2,6,8,9,10,11,128896,9,111,2,3,4,5,7,8,9,13910101,2,3,4,5,7,8,10,1310C1011111,2,3,4,5,6,7,8,9,11,12,1311C111211,121,2,3,4,5,7,8,12,1312136,9,10,11,12,133,4,7,1313
根据各层次因素分解结果绘制支模脚手架高处坠落事故多层递阶结构模型,并用单向箭头表示各致灾因素间的因果逻辑关系,其绘制结果如图3所示.多层递阶结构模型可反映高处坠落事故致灾因素间的作用路径与层次结构.
图3 高处坠落事故多层递阶结构模型图
Fig.3 Model for multilevel hierarchical structure of high falling accident
3.3.1 DEMATEL分析
在运用DEMATEL模型对支模脚手架高处坠落事故致灾因素体系的分析结果中可以得出,在影响度方面,排在前三位且其影响度值均大于1.5的因素为安全教育及制度缺乏、管理上违章指挥或缺乏监管及安全文化及氛围缺失,表明该三项因素对其他因素影响较大,在制定支模脚手架高处坠落事故预防措施时应着重加强安全制定及文化的投入力度.在被影响度方面,排在前三位的是应急救援行动失败、架体出现局部或整体坍塌及安全带损坏或使用不当,表明该三项因素受其他因素影响较大,因此,通过该三项因素可判断其他致灾因素的状态是否合格.在中心度方面,其得分值最高的前两位是应急救援行动失败与架体出现局部或整体坍塌,表明二者是导致支模脚手架高处坠落最重要与最直接的原因,因此,在日常监管过程中应格外重视对应急体系的建立与应急预案的演练,同时应安排架体专职安全检查员密切关注架体状态,防止出现坍塌现象.在原因度方面,其原因集合排在前三位的因素与影响度排在前三位因素一致,结果集合中排在前三位的因素与被影响度排在前三位的一致,进一步验证了该三项因素对其他因素影响与受其他因素影响的程度之高.
因此,通过DEMATEL建模,可从13个因素中筛选出6个关键致灾因素,其分别为安全教育及制度缺乏、管理上违章指挥或缺乏监管及安全文化及氛围缺失3个原因因素,应急救援行动失败、架体出现局部或整体坍塌及安全带损坏或使用不当3个结果因素.通过加强对此6个因素的监管力度可有效避免或减少高处坠落事故的发生.
3.3.2 ISM分析
ISM建模所构建的多层递阶结构模型可清晰反映支模脚手架高处坠落事故致灾因素间的相互影响关系及结构层次.现就该模型图进行分析,位于第7、8层的致灾因素均属于管理层面的失职行为,其安全教育及制度缺乏会直接引发管理上违章指挥或缺乏监管,而管理上违章指挥或缺乏监管又会带来安全文化及氛围的缺失、作业环境恶劣.第6、7、8层因果关系表明领导层对待事故的态度会对整个系统模型中起基础性与决定性的作用,因此,要想营造良好的安全文化氛围及作业环境,必须从加强管理层安全意识与完善相关制度规范做起.而安全文化氛围的缺失与恶劣的作业环境会导致工人生理心理状态欠佳,加上工人对施工方案及操作技能不熟悉,很容易造成工人违章作业或操作失误情况的发生.而工人违章作业与操作失误再加上管理人员违章指挥与缺乏监管,为高处坠落事故的发生埋下安全隐患.第4、5层致灾因素因果逻辑关系是引发支模脚手架高处坠落事故发生的间接性因素.间接性因素的存在会直接导致第1、2、3层因素的出现,如架体防护栏设置不合理、未按要求配备安全装置及安全带损害或使用不当情况等现象,最终造成对事故应急救援行动的失败.1、2、3层因素作为诱发高处坠落事故的直接原因,一旦触发将直接导致事故发生.
通过对ISM建模结果进行分析,可将各因素按照所在的层次结构划分为直接因素(1~3层)、间接因素(4~5层)及基础性因素(6~8层),该3类因素可用3张多米诺骨牌表示它们之间的因果关系,其中任意一个骨牌倒下时,均会导致高处坠落事故的发生.因此,必须从基础性因素入手,强化管理层安全意识,加强安全教育及完善安全制度,构建良好的作业环境.
3.3.3 混合建模分析
对二者进行混合分析的作用是找出二者在分析结果上的关联性及某种程度上的一致性,从而验证模型分析的准确性.在DEMATEL分析中,排名前三位的影响度因素在ISM分析中属于基础性因素,排名前三位的被影响度因素在ISM分析中属于直接因素,并且基础性因素对应原因集合,直接因素对应结果集合,此外在中心度排名前两位的因素分别位于多层递阶结构模型的第一层与第二层,进一步论证了该因素对触发高处坠落事故的较大可能性.因此,通过混合建模可得出安全教育及制度缺乏、安全文化氛围缺失是最重要的基础性因素,应急救援行动失败与架体出现局部或整体坍塌是最为关键的直接因素.以上分析表明两种模型对支模脚手架高处坠落事故致灾因素的类型划分与重要性识别上具有高度的一致性.
为了构建支模脚手架高处坠落事故致灾因素体系,本文在分析支模脚手架高处作业特点的基础上,对近三年发生的相关事故原因进行了系统调查与统计分析,同时结合文献查阅法,共提取了13个致灾因素,并从不慎坠落与安全措施失效两个角度对13个因素进行划分.
利用DEMATEL建模得出了各致灾因素的影响度、被影响度、中心度及原因度,并从中筛选出了6个关键致灾因素,其中3个为原因集合,另3个为结果集合,3个为结果集合的致灾因素,其中心度值也较高.利用ISM建模所构建的多层递阶结构模型将13个因素划分为8个层次,并将8个层次依据其在引发高处坠落事故中的影响过程进一步归类为基础性因素、间接因素与直接因素.
将DEMATEL与ISM法相结合,提炼出了6个关键因素,即安全教育及制度缺乏、管理上违章指挥或缺乏监管、安全文化及氛围缺失、急救援行动失败、架体出现局部或整体坍塌及安全带损坏或使用不当,同时明确了该6项因素在整体致灾因素体系中所处的位置及引发高处坠落的作用路径.
[1]张洪,宫运华,傅贵.基于“2-4”模型的建筑施工高处坠落事故原因分类与统计分析 [J].中国安全生产科学技术,2017,13(9):169-174.
(ZHANG Hong,GONG Yun-hua,FU Gui.Causes classification and statistical analysis on falling accidents on construction sites based on “2-4” model [J].Journal of Safety Science and Technology,2017,13(9):169-174.)
[2]王孙梦,李慧民,刘青青.基于灰色欧几里德理论的悬挑脚手架安全性评价 [J].安全与环境工程,2016,23(1):156-161.
(WANG Sun-meng,LI Hui-min,LIU Qing-qing.Safety evaluation of cantilevered scaffold based on grey Euclidean theory [J].Safety and Environment Engineering,2016,23(1):156-161.)
[3]李艳庆,王明贤,李娜.模糊综合评价法在扣件式钢管脚手架安全性方面的应用 [J].建筑技术,2013,44(1):82-84.
(LI Yan-qing,WANG Ming-xian,LI Na.Application of fuzzy comprehensive evaluation in safety of fastener steel-tube scaffold [J].Architecture Technology,2013,44(1):82-84.)
[4]Pratama M,Lu J,Anavatti S,et al.An incremental meta-cognitive-based scaffolding fuzzy neural network [J].Neurocomputing,2016,171:89-105.
[5]Hertle R.Scaffolds and falsework:constructions,structural design,assessment [J].Perceptual & Motor Skills,2018,82(1):963-972.
[6]张仕廉,聂李琴.基于DEMATEL方法的建筑施工安全管理行为影响因素分析 [J].安全与环境工程,2017,24(1):121-125.
(ZHANG Shi-lian,NIE Li-qin.Influence factors of safety management behaviors of building construction by using DEMATEL method [J].Safety and Environmental Engineering,2017,24(1):121-125.)
[7]姜沁瑶,李洁.基于ISM的建筑工人安全意识影响因素 [J].土木工程与管理学报,2016,33(3):106-110.
(JIANG Qin-yao,LI Jie.Influencing factors of construction workers’ safety awareness based on interpretive structure model [J].Journal of Civil Engineering and Management,2016,33(3):106-110.)
[8]杜纯,王瑛,汪送,等.集成DEMATEL/ISM的复杂系统安全事故致灾因素分析 [J].数学的实践与认识,2012,42(22):143-150.
(DU Chun,WANG Ying,WANG Song,et al.Analysis of safety accident influence factors of complex system based on the integration of DEMATEL and ISM [J].Mathematics in Practice and Theory,2012,42(22):143-150.)
[9]Zhang P K,Luo F.Influencing factors of runway incursion risk and their interaction mechanism based on DEMATEL-ISM [J].Tehnicki Vjesnik,2017,24(6):1853-1861.
[10]许伟,常晓波,王继忠,等.基于可变模糊集的绿色施工评价 [J].沈阳工业大学学报,2015,37(6):690-694.
(XU Wei,CHANG Xiao-bo,WANG Ji-zhong,et al.Evaluation of green construction based on variable fuzzy sets [J].Journal of Shenyang University of Technology,2015,37(6):690-694.)
[11]邓雪,李家铭,曾浩健,等.层次分析法权重计算方法分析及其应用研究 [J].数学的实践与认识,2012,42(7):93-100.
(DENG Xue,LI Jia-ming,ZENG Hao-jian,et al.Research on computation methods of AHP wight vector and its applications [J].Mathematics in Practice and Theory,2012,42(7):93-100.)