致密砂岩中液态CO2和水压裂试验*

高志亮1,穆景福1,马东东2,南蓓蓓1,胡大伟2

(1. 陕西延长石油(集团)有限责任公司研究院 陕西省陆相页岩气成藏与开发重点实验室,西安 710061; 2. 中国科学院 武汉岩土力学研究所,武汉 430071)

要: 为了充分理解致密砂岩中液态CO2压裂机理,利用钻井岩芯结合CT扫描技术和核磁共振技术研究了致密砂岩的破裂形态和破裂裂纹尺寸特征受压裂介质的影响.结果表明:相对于水力压裂,液态CO2压裂可显著降低岩石破裂压力和增加破裂裂纹弯曲度,在破裂宏观裂纹尺寸特征上两者存在相似性,而液态CO2压裂更易诱导微小裂纹萌生;液态CO2具有粘度低、易扩散等特性,可扩散至微小孔/裂隙中,诱导微小裂纹的萌生和影响破裂裂纹的扩展过程,使得裂纹间贯通性差;而水力压裂中压裂介质扩散产生孔隙压力的影响相对较小,造成破裂压力较高,破裂形态较平整,裂缝较宽.

词: 致密砂岩; 水力压裂; 液态CO2压裂; 破裂压力; 弯曲度; 破裂形态; 破裂裂纹尺寸特征

水力压裂作为一种储层增产工艺技术,自从1947年在美国Kansas水力压裂成功运用,已得到广泛使用,并在深部资源储层改造中取得了非常好的成果.对石油钻井中,特别是非常规能源在开采过程中遇到低渗等特点,采用水力压裂方法改造储层并不能达到理想效果,而近些年来,由于液态CO2因具有接近于液体,黏度接近于气体,扩散系数远大于液体,表面张力接近于零等特点而获得研究学者的青睐[1],可作为一种较理想的压裂介质,同时在降低压裂介质对储层的伤害、提高原油采出率上,液态CO2具有很好的应用前景.

随着国家资源结构的不断优化,为非常规油气资源开采带来机遇,目前对于致密砂岩储层中油气资源开采的研究越来越多,主要集中在多分段及酸化处理研究[2-7].高杰等[3]对岩性差异及界面性质对裂缝起裂扩展的影响进行了研究;沈新普等[8]基于损伤力学方法,采用数值模拟对油层三维压裂进行了模拟,并对现场压裂效果进行了预测.同时,关于CO2压裂的相关研究成果主要集中在花岗岩、煤岩和页岩中[9-10],对于致密砂岩的液态CO2研究成果较少,而目前对于致密砂岩的液态CO2压裂的破裂机理并不清晰,有必要开展相应的研究.

本文采用压裂钻孔中采集的同区段岩芯,进行水和液态CO2压裂试验,并对破坏后试样进行CT扫描试验和核磁共振试验,从破裂形态和破裂裂纹尺寸特征上分析压裂介质对试验破裂的影响.本文研究成果可为相关压裂工艺优化和现场压裂工艺提供技术指导.

1 试验概况

1.1 工程地质概况

岩芯取自于银额盆地哈日凹陷中部洼陷带,埋深约1 520 m,属石炭系巴音戈壁组致密砂岩,属油气同层储层,温度为76.1 ℃,地温梯度为3.381 ℃/100 m,地层破裂压裂梯度为0.199 MPa/100 m.

取钻井岩芯,鉴别其矿物组成发现岩芯以细粒为主,少量中粒.成份以石英、长石为主,暗色矿物次之,颗粒呈次圆状,泥质胶结.岩芯矿物成分中石英含量为52.79%,钠长石含量为26.61%,黏土含量中伊利石含量最高,为16.03%,说明致密砂岩中以脆性矿物(石英和钠长石)为主,含少量黏土矿物.表1为岩石矿物组成成分.在基础力学测试中,发现致密砂岩的单轴抗压强度为120.56 MPa,抗拉强度为10.26 MPa.

表1 岩石矿物组成成分
Tab.1 Mineral composition of rock %

石英钠长石黏土伊利石高岭土绿泥石52.7923.6116.033.304.27

1.2 试验仪器

水力压裂试验仪器采用岩石多场耦合试验机,如图1所示.试验机由围压、轴压和压裂系统组成,可单独对每项系统进行独立控制,其中压裂系统采用ISCO 260D计量泵,最大可达52 MPa.试验中压裂介质采用水和液态CO2,而CO2具有很好的可压缩性,当温度为31.7 ℃和压力为7.4 MPa时达到临界状态,气态CO2会转换成液态CO2,故将压力上升至8.5 MPa左右时可认为此时是纯液态状态.

图1 试验仪器和试样安装
Fig.1 Test instruments and sample installation

1.3 试验方法

为对现场压裂提供技术保障,同时减小压裂试样中钻孔对岩石均匀性的影响范围,试验模拟岩芯在地应力下压裂效果,将现场岩芯制成25 mm×50 mm的圆柱体试样,将平整度控制在±0.002 mm范围内,对致密砂岩施加围压30 MPa.同时为模拟压裂钻孔,在试样中心钻孔深30 mm,直径3 mm,通过钢管将压裂介质注入到试验钻孔中,并预留5 mm的裸眼段利于压裂起裂,钢管与试样钻孔用环氧树脂胶粘黏,在保温箱中(常温)放置24 h.压裂试验大致分为3步骤:

1) 首先增加围压至指定值,通过围压/轴压系统使围压恒定后,保持压力10 min;

2) 试验中压裂介质注入方式采用恒流方式,其中,水注入速率为1 mL/min,液态CO2注入速率为5 mL/min,注入直至试样发生破坏;

3) 试样破坏之后依次卸载压裂压力和围压.

试样破裂之后保持试样密封状态进行CT扫描观察内部形态,利用核磁共振技术研究破裂尺寸特征,分析水和液态CO2对致密砂岩破裂的影响.本文试验过程中可精确控制和记录压力、流量数据,相关记录压裂数据时间间隔为0.2 s.

2 试验结果分析

2.1 压力曲线分析

图2为水力压裂和液态CO2压裂曲线以及增压速率曲线.图2a为致密砂岩水和液态CO2压裂曲线图.其中,液态CO2开始压力约为8.5 MPa,经过缓慢增加直至破坏,而水力压裂中压裂曲线首先经过初始压力发展阶段后迅速增加至破坏[11],破裂压力为85.8 MPa,大于液态CO2的41.8 MPa破裂压力.

图2 水力压裂和液态CO2压裂曲线以及增压速率曲线
Fig.2 Curves of hydraulic and liquid CO2 fracturing and curves of supercharging rate

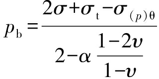
对于完整性较好的致密砂岩,认为当钻孔中环向有效应力达到抗拉强度时可发生破裂,即

pwpb ((σθσt)r=rw)

(1)

式中:pw为钻孔中注射压力;pb为破裂压力;σθ为钻孔中环向应力;σt为岩石抗拉强度;rw为钻孔半径.

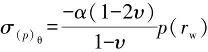
考虑到压裂液的扩散产生孔隙压力场分布,从而影响钻孔中环向应力σθ大小,即

(2)

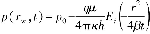
式中:α为有效应力系数;υ为泊松比;p(rw)为沿孔径方向孔隙压力分布,其表达式[12]

(3)

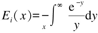
其中,β为压裂液的可压缩性,p0为初始压力,q为压裂流体流量,t为注水周期时间,κ为岩石渗透率,μ为压裂液的黏度,h为井眼高,Ei(x)的表达式为

(4)

因此,破裂压力在考虑到孔隙压力分布的影响时可推导为

(5)

式中,σ为试样所承受的围压.

结合上述理论,压裂过程中压裂介质沿钻孔径向方向渗透,产生孔隙压力,会对破裂压力和破裂过程中裂纹扩展产生影响[13].图2b为破裂前增压速率变化曲线,可反映因压裂介质的渗透对裂纹起裂和破裂压力的影响,具体表现为水力压裂中增压速率为先平缓后逐渐增大,在破裂之前又出现降低,表明在发生破裂之前存在裂纹起裂;液态CO2中压裂前期与水力压裂类似,可说明此时CO2是液态状态,随后一直增加直至破坏,同时液态CO2压裂中增压速率总是小于水力压裂.可知对于液态CO2,由于黏度低、易扩散等特点产生孔隙压力场,可有效降低骨架颗粒有效应力;对于水力压裂中压裂介质的扩散产生的孔隙压力影响较小,骨架颗粒主要受围压的影响.因此对于致密砂岩,液态CO2降低破裂压力与压裂介质扩散产生的孔隙压力有关.

2.2 破裂形态

破裂形态不仅可直观地反映破裂裂纹复杂度,而且还为分析裂纹扩展提供方法.随着高精度扫描设备的发展,CT扫描技术可获得岩石内部破裂形态[13].CT扫描试验中保持破裂后试样的未拆封状态以避免后期人为扰动对破裂裂纹的影响,其空间分辨率为16.846 4 μm,每隔试样切片间隔为0.017 mm.

图3为岩石破裂后CT扫描切片图.发现液态CO2压裂试验中,其破裂裂缝约为0.015 mm,小于水力压裂中1.1 mm的宽度,这与文献[13]中试验结果相一致,同时液态CO2压裂中裂纹弯曲度更高,发育着更多分支裂缝,表明液态CO2压裂中裂纹扩展时更易形成复杂交叉裂缝.通过对CT切片进行三维重构后,发现液态CO2压裂中钻孔周边存在未相互贯通的裂纹,而水力压裂中裂纹为对称分布,分支微裂纹极少,如图4所示.应当注意的是,液态CO2压裂中存在许多并未贯穿的裂纹,说明液态CO2压裂中压裂介质的扩散可影响整个钻孔周围;而水力压裂中裸眼段也存在微裂纹发育区域,与破裂面间相互贯通,可知孔隙压力的影响较小,主要集中在钻孔周边有效区域处.因此,岩石内部的孔隙压力场分布将影响着裂纹扩展及形态分布,对于液态CO2压裂中孔隙压力场分布相对均匀,裂纹扩展时其尖端易形成低孔隙压力区,促使裂纹沿孔隙压力高处扩展,导致裂纹间相互贯通性差和裂纹弯曲度高.对于水力压裂,压裂介质的扩散而产生的孔隙压力差的影响相对较小,裂纹扩展时表现为直接拉伸破坏,破裂面较平整.总之,对于采用水和液态CO2作为压裂介质的压裂试验,破裂形态与压裂介质渗透产生的孔隙压力有着很大关系.

图3 CT切片示意图
Fig.3 Schematic diagram of CT slices

2.3 破裂裂纹分布特征

压裂破裂过程不仅形成宏观的破裂形态,而且会诱发微观结构,其与裂缝网络密切相关,核磁共振技术可为研究岩石内孔/裂隙分布规律提供方法,通过核磁共振谱线及其特征参数,拟合得到核磁共振T2分布谱,计算出T2分布谱岩石内孔/裂隙分布的关系,最后求解出不同区间内孔/裂隙分布.本文将压裂后岩样进行流体饱和,在相同状态下进行核磁共振扫描试验,得到核磁共振特征谱线,计算不同区间内裂纹分布,定量分析水和液态CO2对破裂裂纹尺寸分布特征的影响.图5为水和液态CO2压裂后核磁共振试验测量裂纹分布.曲线呈多峰分布,其中,0.01~0.11 μm尺寸间对应的波峰峰值点占比最大,两者在0.01~0.11 μm波峰上部是相等的,说明岩石间的均质性良好,而液态CO2压裂明显向右扩展,说明液态CO2压裂更易诱导微小裂纹的萌生.其他两个波峰分别对应1~2 μm和10~11 μm,其中1~2 μm波峰中水和液态CO2压裂具有相似性,而10~11 μm波峰处水力压裂峰值更明显,这与图3中CT切片结果一致,表明水力压裂和液态CO2压裂在宏观破裂裂纹尺度特征上具有相似性,而在微小结构尺度特征上,由于CO2扩散产生可渗入到非常微小的孔/裂隙,更易诱导产生微裂纹,使裂纹分布区间移动.

图4 水力压裂和液态CO2压裂后破坏形态
Fig.4 Failure morphologies after hydraulic and liquid CO2 fracturing

图5 核磁共振孔径分布
Fig.5 Pore size distribution measured by nuclear magnetic resonance

3 结 论

采用压裂钻孔中采集的致密砂岩岩芯,进行水和液态CO2压裂试验,并通过CT扫描技术和核磁共振技术分别对破裂形态和破裂裂纹尺寸特征进行研究,分析水和液态CO2压裂中对致密砂岩破裂的影响,得到的结论如下:

1) 相对水力压裂,液态CO2压裂可显著降低岩石破裂压力,主要与压裂介质扩散产生的孔隙压力相关.

2) 液态CO2压裂中破裂裂纹具有裂纹弯曲度高和宽度低的特点,主要是液态CO2压裂中孔隙压力场较均匀分布,导致裂纹尖端存在低孔隙压力区域,使裂纹沿较高孔隙压力扩展,造成裂纹间贯通性差;而水力压裂中压裂介质扩散的影响仅在钻孔周边区域,孔隙压力场影响较小,破裂面较平整.

3) 水力压裂和液态CO2压裂在破裂裂纹尺度上存在一定差异,在0.01~0.11 μm波峰中液态CO2压裂向右移动,更易诱导微小裂纹的萌生,在1~2 μm和10~11 μm中具有相似性,表明水和液态CO2压裂在宏观破裂裂纹尺度特征上具有相似性.

参考文献References

[1]贾承造,郑民,张永峰.中国非常规油气资源与勘探开发前景 [J].石油勘探与开发,2012,39(2):129-136.

(JIA Cheng-zao,ZHENG Min,ZHANG Yong-feng.Unconventional hydrocarbon resources in China and the prospect of exploration and development [J].Petroleum Exploration and Development,2012,39(2):129-136.)

[2]魏元龙,杨春和,郭印同,等.须家河组致密砂岩水力压裂裂缝形态的试验研究 [J].岩石力学与工程学报,2016,35(增刊1):2720-2731.

(WEI Yuan-long,YANG Chun-he,GUO Yin-tong,et al.Experimental study on hydraulic fracture geometry of tight sandstone from Xujiahe group [J].Chinese Journal of Rock Mechanics and Engineering,2016,35(Sup1):2720-2731.)

[3]高杰,侯冰,陈勉,等.岩性差异及界面性质对裂缝起裂扩展的影响 [J].岩石力学与工程学报,2018,37(增刊2):311-317.

(GAO Jie,HOU Bing,CHEN Mian,et al.Effects of rock strength and interfacial property on fracture initiation and propagation [J].Chinese Journal of Rock Mechanics and Engineering,2018,37(Sup2):311-317.)

[4]赵顺超,罗志锋,袁学芳,等.裂缝性致密砂岩储集层酸压增产机理 [J].新疆石油地质,2014,35(2):207-210.

(ZHAO Shun-chao,LUO Zhi-feng,YUAN Xue-fang,et al.Stimulation mechanism of acid fracturing in fractured tight sandstone reservoirs [J].Xinjiang Petroleum Geology,2014,35(2):207-210.)

[5]刘建坤,蒋廷学,吴春方,等.致密砂岩交替注酸压裂工艺技术 [J].特种油气藏,2017,24(5):150-155.

(LIU Jian-kun,JIANG Ting-xue,WU Chun-fang,et al.Alternate acid injection fracturing technology for tight sandstone reservoirs [J].Spacial Oil and Gas Reserviors,2017,24(5):150-155.)

[6]杨兆中,陈倩,李小刚,等.鄂尔多斯盆地低渗透致密砂岩气藏水平井分段多簇压裂布缝优化研究 [J].油气地质与采收率,2019,26(2):120-126.

(YANG Zhao-zhong,CHEN Qian,LI Xiao-gang,et al.Optimization of multi-cluster staged fracturing for horizontal well in low-permeability tight sandstone gas reservoir,Ordos Basin [J].Petroleum Geology and Recovery Efficiency,2019,26(2):120-126.)

[7]唐勤.致密砂岩气藏前置酸压裂技术应用研究 [J].石油化工应用,2017,36(5):38-42.

(TANG Qin.Application study of pre-acid fracturing technology for tight sandstone gas reservoir [J].Pe-trochemical Industry Application,2017,36(5):38-42.)

[8]沈新普,金生吉.油层压裂模拟的损伤力学方法及数值应用实例 [J].沈阳工业大学学报,2014,36(3):341-346.

(SHEN Xin-pu,JIN Sheng-ji.Numerical method and application example of stimulation damage mechanics for fracture of reservoir formation [J].Journal of Shen-yang University of Technology,2014,36(3):341-346.)

[9]Ishida T,Chen Y,Bennour Z,et al.Features of CO2,fracturing deduced from acoustic emission and microscopy in laboratory experiments [J].Journal of Geophysical Research Solid Earth,2016,121:8080-8098.

[10]Hou P,Gao F,Ju Y,et al.Effect of water and nitrogen fracturing fluids on initiation and extension of fracture in hydraulic fracturing of porous rock [J].Journal of Natural Gas Science and Engineering,2017,45:38-52.

[11]Wanniarachchi W A M,Gamage R P,Perera M S A,et al.Investigation of depth and injection pressure effects on breakdown pressure and fracture permeability of shale reservoirs:an experimental study [J].Applied Sciences,2017,7(7):664.

[12]Bruno M S,Nakagawa F M.Pore pressure influence on tensile fracture propagation in sedimentary rock [J].International Journal of Rock Mechanics and Mining Sciences & Geomechanics Abstracts,1991,28(4):261-273.

[13]Deng B Z,Yin G Z,Li M H,et al.Feature of fractures induced by hydrofracturing treatment using water and L-CO2 as fracturing fluids in laboratory experiments [J].Fuel,2018,226:35-46.

Experiments on liquid CO2 and water fracturing in tight sandstone

GAO Zhi-liang1, MU Jing-fu1, MA Dong-dong2, NAN Bei-bei1, HU Da-wei2

(1. Shaanxi Key Laboratory of Lacustrine Shale Gas Accumulation and Exploitation, Research Institute of Shaanxi Yanchang Petroleum (Group) Co.Ltd., Xi’an 710061, China; 2. Institute of Rock and Soil Mechanics, Chinese Academy of Sciences, Wuhan 430071, China)

Abstract In order to fully understand the liquid CO2 fracturing mechanism in tight sandstone, the drilling core was combined with CT scanning technology and nuclear magnetic resonance technology to investigate the fracture morphology and fracture crack size characteristics of tight sandstone affected by fracturing media. The results show that compared with hydraulic fracturing, liquid CO2 fracturing can significantly reduce the rock fracturing pressure and increase the fracturing crack curvature. In addition, both hydraulic fracturing and liquid CO2 fracturing have the similar size characteristics of fracturing macroscopic crack, while the liquid CO2 fracturing is more likely to induce microcrack initiation. The liquid CO2, with the characteristics of low viscosity and easy diffusion, can diffuse in the micro-holes and cracks, and induce the microcrack initiation and affect the expansion process of fracturing cracks, making the inter-crack penetration poor. The effect of emerging pore pressure caused by the fracturing medium diffusion during hydraulic fracturing is relatively small, resulting in higher fracture pressure, flattened fracture morphology and wider fracturing cracks.

Key words tight sandstone; hydraulic fracturing; liquid CO2 fracturing; breakdown pressure; curvature; fracture morphology; fracture crack size characteristic

收稿日期 2019-12-12.

基金项目 国家科技重大专项课题基金项目(2017ZX039-004).

作者简介 高志亮(1984-),男,陕西长武人,高级工程师,硕士,主要从事油气田储层改造和压裂液等方面的研究.

*本文已于2021-04-22 10∶56在中国知网优先数字出版. 网络出版地址: http:∥kns.cnki.net/kcms/detail/21.1189.T.20210421.1410.024.html

doi:10.7688/j.issn.1000-1646.2021.03.20

中图分类号: TE 357.1

文献标志码: A

文章编号: 1000-1646(2021)03-0356-05

(责任编辑:钟 媛 英文审校:尹淑英)