材料科学与工程

Hf对一种高W镍基合金组织及拉伸性能的影响*

肖传民1, 舒德龙2, 谢 君2, 侯桂臣2, 华涵钰2

(1. 空装驻沈阳地区第三军事代表室, 沈阳 110016; 2. 中国科学院金属研究所 师昌绪先进材料创新中心, 沈阳 110016)

摘 要: 为了研究Hf元素含量对高W镍基高温合金组织和室温拉伸性能的影响,制备了三种不同Hf含量的高W镍基高温合金,测试了高温合金的室温拉伸性能,分析了高温合金的微观组织和断裂机理.结果表明,在给定成分范围内,随着Hf元素含量的增加,铸态合金中的γ′共晶尺寸、含量增加,而碳化物尺寸、含量降低,合金的室温抗拉强度逐渐增大,但合金的塑性无显著变化.随着Hf元素含量的增加,合金中碳化物含量减少,导致裂纹源数量减少,这是高Hf合金室温拉伸强度较高的主要原因.

关 键 词: 镍基高温合金; W含量; Hf含量; 微观组织; 抗拉强度; 断裂机制; 塑性; 碳化物

高W合金化镍基高温合金具有优异的高温抗氧化性及力学性能,加之其成本较低,广泛应用于制造航空发动机涡轮导向叶片[1-2].与Re、Ru等添加元素相比,W价格较低,且在镍基高温合金中具有优良的强化作用,可在一定程度上取代Re、Ru等元素,因此,对于高W合金化镍基高温合金的研究已引起各国研究学者的广泛关注[3-5].我国已先后研制并投入使用了如K19、K21、K465等多种W含量约为10%的高W镍基高温合金[6],并在此基础上进一步开发了W含量高达约16%的K416B合金,该合金的高温强度及疲劳性能可与第一代单晶合金相当[7].由此可见,高W镍基高温合金具有十分巨大的开发与应用潜力.但由于W元素的扩散系数较低,加之铸造工艺特点容易引起合金在凝固期间产生较为严重的宏观偏析[8-9].相关研究[1]表明,随着合金中W元素含量的提高,合金在凝固期间可析出大量W含量高达90%以上的α-W相以及富W的MC和M6C型碳化物,大大降低了W在合金中的固溶强化效果.由此可见,高W镍基高温合金的组织稳定性相对较差,在一定程度上限制了该系列合金的应用范围.

Hf元素在合金中主要以碳化物形式存在[10-11],且具有抑制M6C或M23C6碳化物析出、使MC碳化物由连续分布向弥散分布转变以及提高晶界及碳化物稳定性的作用[12-13],Hf能够同时提高合金的强度及塑性,因而受到材料研究学者的广泛关注.目前有关Hf元素对高W镍基高温合金凝固组织及力学性能影响的研究较少.据此,本文通过制备具有不同Hf含量的高W镍基高温合金,通过观察合金的铸态组织,并对合金进行室温拉伸性能测试,研究了Hf元素含量对高W镍基高温合金组织和室温拉伸性能的影响,为高W镍基高温合金的设计和应用提供了理论依据.

1 材料与方法

采用VIM-F25型真空感应炉制备不同Hf含量的高W镍基高温合金,合金的名义成分如表1所示.经二次重熔浇铸获得等轴晶试棒,再经机械加工得到直径为15 mm、标距为25 mm的标准拉伸试棒.利用MTS E45.105型电子万能实验机进行室温拉伸实验,考察Hf元素含量对合金室温拉伸性能的影响.

表1 高温合金的名义成分(w)
Tab.1 Nominal compositions of superalloys (w) %

编号CCrCoAlWTiNbHfNi10.157616120.5余量20.157616121.0余量30.157616121.5余量

采用光学显微镜(OM)和扫描电子显微镜(SEM)观察不同Hf含量合金的铸态组织及经室温拉伸断裂后的合金断口、近断口附近的截面组织,考察Hf元素对合金组织和拉伸断裂机制的影响.观察铸态和截面组织前,需对试样进行机械研磨抛光,并采用50 mL HCl+20 g CuSO4+100 mL H2O的腐蚀剂进行化学腐蚀.

2 结果与分析

2.1 Hf含量对合金铸态组织的影响

采用光学显微镜观察不同Hf含量合金的宏观组织形貌,结果如图1所示.不同合金中的一次、二次枝晶间距分别为L1L2.由图1可见,0.5%Hf、1.0%Hf、1.5%Hf合金的一次、二次枝晶间距分别约为140、35 μm,130、35 μm以及125、35 μm.可见,随着Hf含量的增加,铸态合金的一次枝晶间距略有减小,但合金的二次枝晶间距无明显变化.这是由于Hf元素熔点较高(约为2 227 ℃),当合金发生凝固时,在相同初始温度下难熔元素含量较高的合金在凝固期间的凝固范围较窄,因而在液固转变期间可形成更多的枝晶构架,导致随着Hf含量的提高,合金的一次枝晶间距略有减小.

图1 高温合金的铸态枝晶组织
Fig.1 Dendritic microstructures of as-cast superalloys

采用扫描电子显微镜观察三种合金枝晶间区域的共晶及碳化物形貌,结果如图2所示.由图2可见,三种合金中共晶组织均为尺寸较大的块状γ′共晶相[2],且在枝晶间区域可观察到碳化物组织,经SEM/EDS分析可知,枝晶间区域的碳化物主要为富Ti、Nb和Hf的MC型碳化物,且在1.5%Hf合金中可观察到少量α-W相(见图2c).随着Hf含量的增加,枝晶间区域的MC碳化物由尺寸较大的条状形态逐渐向尺寸较小且弥散分布的颗粒状形态转变.

图2 高温合金枝晶间区域的共晶及碳化物形貌
Fig.2 Eutectic and carbide morphologies within interdendritic region of superalloys

利用共晶组织和碳化物衬度以及合金中γ、γ′相的不同特点,采用Image-Pro软件对不同Hf含量合金中的共晶及碳化物面积占比进行统计分析,得到共晶、MC碳化物含量与Hf含量的关系,结果如图3所示.由图3可见,随着Hf含量的增加,合金中的共晶组织含量增加(分别约为4.8%、7.5%和13.4%),MC碳化物含量降低(分别约为1.2%、1.1%和0.8%).

图3 高温合金中共晶、MC碳化物与Hf含量关系曲线
Fig.3 Curve of relationship between eutectic and MC carbide with Hf in superalloys

由于Hf元素为强碳化物形成元素,且合金凝固期间的凝固顺序为:L→γ→MC→(共晶γ′)→γ′[1],因此,随着合金中Hf元素含量的提高,凝固期间富Hf碳化物含量随之提高,导致TiC析出数量减少,液相中Ti元素凝固顺序后移,并引起残余液相中Al、Ti浓度增加.随着凝固的进行,当温度降至共晶点附近时,较高的Al、Ti浓度梯度可促进γ′共晶的形成,因而随着Hf含量的提高,铸态合金中的共晶组织含量也随之增加,且γ′共晶尺寸也有所增加.

2.2 Hf含量对合金室温拉伸性能的影响

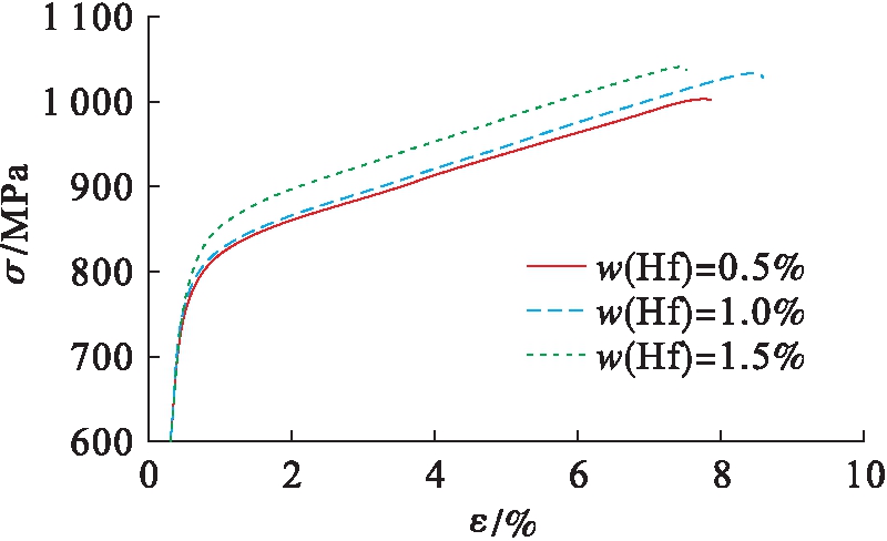
不同Hf含量合金的室温拉伸性能数据如表2所示,其应力应变曲线如图4所示.由表2可见,随着Hf含量的增加,合金的室温拉伸屈服强度和抗拉强度略有增加,伸长率和断面收缩率变化不明显,说明在0.5%~1.5%范围内,Hf含量增加能提高合金的强度,但对合金的塑性影响不大.

表2 高温合金的室温拉伸性能
Tab.2 Tensile properties of superalloys at room temperature

编号屈服强度MPa抗拉强度MPa伸长率%断面收缩率%177510067.59277610368.09380510447.09

图4 高温合金的室温拉伸应力应变曲线
Fig.4 Tensile stress-strain curves at room temperature of superalloys

2.3 合金的室温拉伸断裂机制

1.0%Hf合金经室温拉伸断裂后,近断口区域的组织形貌如图5所示.由图5可见,合金在室温拉伸期间,裂纹主要于枝晶间及晶界处碳化物与基体的界面处萌生,并向碳化物一侧迅速扩展形成微裂纹(见图5a、b),此后裂纹沿横向晶界或枝晶间区域迅速扩展,导致合金发生拉伸断裂.实验发现0.5%Hf和1.5%Hf合金近断口区域的组织形貌特征与1.0%Hf合金基本相同,均为裂纹在枝晶间及晶界的碳化物处萌生,并沿与应力轴垂直方向扩展,由此可见,合金中的碳化物是室温拉伸过程中的薄弱环节.

图5 Hf含量为1.0%时高温合金室温拉伸断裂后近断口区域的组织形貌
Fig.5 Microstructural morphologies near fracture region of superalloy with 1.0%Hf after tensile fracture at room temperature

采用电子背散射衍射(SEM/EBSD)对1.0%Hf合金断口附近进行碳化物和应力分布分析,结果如图6所示.合金在室温拉伸过程中应力集中主要发生在碳化物处,且大尺寸碳化物处的应力集中值较高,同时晶界碳化物的应力集中程度高于晶内碳化物(见图6c).由此可以推断出,在合金室温拉伸过程中施加应力会引起碳化物处产生应力集中,并导致碳化物开裂形成裂纹源.碳化物周围的应力集中程度主要取决于该区域组织的协调变形能力,由于碳化物几乎无塑性[14],因而碳化物本身容易产生较大的应力集中,且应力集中程度随碳化物尺寸的增加而增加.由于晶界两侧的晶粒取向不同,协调变形能力低于单一晶粒,因此,晶界处也易产生应力集中,导致晶界处碳化物的应力集中程度高于晶内.

图6 Hf含量为1.0%时合金室温拉伸断裂后近断口区域的EBSD图像
Fig.6 EBSD images near fracture region of superalloy with 1.0%Hf after tensile fracture at room temperature

采用扫描电子显微镜观察1.0%Hf合金经室温拉伸断裂后的断口形貌,结果如图7所示.合金断口的宏观形貌较为平整(见图7a).合金断口主要呈现解理断裂特征[15],解理面上存在不同衬度的细小析出相,通过能谱分析可知,白色衬度为富W、Nb、Hf、Mo的MC碳化物(如图7c中红色箭头所示),浅灰色衬度为富Ti的MC碳化物(如图7c中蓝色箭头所示).结合图6分析结果可知,解理面处的碳化物为导致合金发生拉伸断裂的主要裂纹源.

图7 Hf含量为1.0%时高温合金室温拉伸断裂后的断口形貌
Fig.7 Fracture morphologies of superalloy with 1.0%Hf after tensile fracture at room temperature

综上所述,合金在室温拉伸过程中的主要断裂机制为:裂纹在合金中的碳化物处产生,并沿与应力轴垂直方向扩展,随着拉伸的进行,相邻裂纹相互连接形成宏观裂纹,并导致合金发生拉伸断裂.随着Hf含量的增加,合金中的大尺寸碳化物数量减少,碳化物面积占比降低,因此,1.5%Hf合金进行室温拉伸时,其裂纹源数量较少,因而其屈服及抗拉强度较高.

3 结 论

通过上述分析可得到以下结论:

1) 随着高W镍基高温合金中Hf元素含量的增加,铸态合金的碳化物尺寸减小,含量降低,γ′共晶的尺寸和含量增加,铸态枝晶间距无显著变化.

2) 随着Hf含量的增加,合金的室温拉伸屈服及抗拉强度略有增加,伸长率和断面收缩率变化不明显.

3) 合金在室温拉伸期间的主要断裂机制为:裂纹在碳化物与基体的界面处萌生并形成微裂纹,随后沿垂直于应力轴方向扩展,导致合金发生解理断裂.

4) 随着Hf含量的增加,合金中碳化物含量降低,使得室温拉伸过程中裂纹源数量减少,因而合金的室温屈服及抗拉强度有所提高.

参考文献(References):

[1]华涵钰,谢君,舒德龙,等.W含量对一种高W镍基高温合金显微组织的影响 [J].金属学报,2020,56(2):161-170.

(HUA Han-yu,XIE Jun,SHU De-long,et al.Influence of W content on the microstructure of nickel base superalloy with high W content [J].Acta Metallurgica Sinica,2020,56(2):161-170.)

[2]Xie J,Yu J J,Sun X F,et al.Thermodynamics analysis and precipitation behavior of fine carbide in K416B Ni-based superalloy with high W content during creep [J].Transactions of Nonferrous Metals Society of China,2015,25(5):1478-1483.

[3]Zhou T J,Ding H S,Ma X P,et al.Effect of precipitates on high-temperature tensile strength of a high W-content cast Ni-based superalloy [J].Journal of Alloys and Compounds,2019,797:486-496.

[4]Yuan X F,Song J X,Zheng Y R,et al.Quantitative microstructural evolution and corresponding stress rupture property of K465 superalloy [J].Materials Science and Engineering A,2016,651:734-744.

[5]郭小童,郑为为,肖程波,等.K465高温合金短时超温后的显微组织退化及拉伸性能 [J].材料工程,2018,46(10):77-86.

(GUO Xiao-tong,ZHENG Wei-wei,XIAO Cheng-bo,et al.Microstructural degradation and tensile pro-perties of K465 equiaxed-cast superalloy after short-time overheating [J].Journal of Materials Engineering,2018,46(10):77-86.)

[6]Li Q G,Lin X,Liu F G,et al.Microstructural characteristics and mechanical properties of laser solid formed K465 superalloy [J].Materials Science and Engineering A,2017,700:649-655.

[7]谢君,于金江,孙晓峰,等.K416B镍基铸造高温合金的700℃高周疲劳行为 [J].金属学报,2016,52(3):257-263.

(XIE Jun,YU Jin-jiang,SUN Xiao-feng,et al.High-cycle fatigue behavior of K416BNi based casting superalloy at 700 ℃ [J].Acta Metallurgica Sinica,2016,52(3):257-263.)

[8]田素贵,张超,薛永超,等.枝晶间距对镍基单晶合金蠕变性能的影响 [J].沈阳工业大学学报,2013,35(4):378-384.

(TIAN Su-gui,ZHANG Chao,XUE Yong-chao,et al.Influence of dendrite spacing on creep properties of single crystal nickel-based superalloys [J].Journal of Shenyang University of Technology,2013,35(4):378-384.)

[9]侯桂臣,苏海军,谢君,等.固溶温度对含铪高钨K416B镍基高温合金组织的影响 [J].航空材料学报,2019,39(3):62-68.

(HOU Gui-chen,SU Hai-jun,XIE Jun,et al.Effect of solid solution temperature on microstructure of Hf-containing K416B Ni-based superalloy with high W-content [J].Journal of Aeronautical Materials,2019,39(3):62-68.)

[10]Cui R J,Huang Z H.Microstructual evolution and stability of second generation single crystal nickel-based superalloy DD5 [J].Transactions of Nonferrous Metals Society of China,2016,26(8):2079-2085.

[11]张义文,韩寿波,刘建涛,等.Hf在FGH4097粉末高温合金中的相间分配行为 [J].中国有色金属学报,2016,26(3):535-543.

(ZHANG Yi-wen,HAN Shou-bo,LIU Jian-tao,et al.Partition behavior of Hf among phases in nickel-based powder metallurgy superalloy FGH4097 [J].The Chinese Journal of Nonferrous Metals,2016,26(3):535-543.)

[12]Chen Q Z,Jones N,Knowles D M.The microstructures of base/modified RR2072SX superalloys and their effects on creep properties at elevated temperatures [J].Acta Materialia,2002,50(5):1095-1112.

[13]余竹焕,张洋,翟娅楠,等.C、B、Hf在镍基高温合金中作用的研究进展 [J].铸造,2017,66(10):1076-1081.

(YU Zhu-huan,ZHANG Yang,ZHAI Ya-nan,et al.The research progress of the role of C,B and Hf in nickel-based superalloy [J].Foundry,2017,66(10):1076-1081.)

[14]Yang W P,Li J R,Liu S Z,et al.Transverse tensile properties of a nickel-based third generation single crystal superalloy [J].Rare Metal Materials and Engineering,2018,47(10):2964-2969.

[15]魏文庆,曹光明,刘炳强,等.碳化物及粉末冶金工艺对Nb-35Ti-6Al-5Cr-8V合金弯曲强度的影响 [J].材料热处理学报,2019,40(9):70-76.

(WEI Wen-qing,CAO Guang-ming,LIU Bing-qiang,et al.Effect of carbide and powder metallurgy process on bending strength of Nb-35Ti-6Al-5Cr-8V alloy [J].Transactions of Materials and Heat Treatment,2019,40(9):70-76.)

Influence of Hf content on microstructure and tensile properties of a nickel-based superalloys with high W content

XIAO Chuan-min1, SHU De-long2, XIE Jun2, HOU Gui-chen2, HUA Han-yu2

(1. Third Military Representative Room in Shenyang Area Air Force Equipment, Shenyang 110016, China; 2. Shichangxu Innovation Center for Advanced Materials, Institute of Metal Research of Chinese Academy of Science, Shenyang 110016, China)

Abstract In order to study the influence of Hf element content on the microstructures and tensile properties at room temperature of nickel-based superalloys with high W content, three superalloys with different Hf contents were prepared. The tensile properties at room temperature were tested. Meanwhile, the microstructures and fracture mechanism of superalloys were analyzed. The results show that both the size and the content of γ′ eutectic increase with the increasing Hf content, while those of carbides decrease, within the given range of compositions. Moreover, the tensile strength of superalloys at room temperature gets improved, but the plasticity of superalloys has no significant change. As the content of Hf gradually increases, the number of crack sources decreases due to the decreasing carbide content, and this is the main reason for the higher tensile strength of superalloys with high Hf content at room temperature.

Key words nickel-based superalloy; W content; Hf content; microstructure; tensile strength; fracture mechanism; plasticity; carbide

收稿日期 2020-08-19.

基金项目 国家自然科学基金项目(51701212); 辽宁省自然科学基金项目(2019-MS-336); 中国科学院科技服务网络计划区域重点项目(KFJ-STS-QYZX-079); 泰州市高层次创新创业人才引进计划项目(2018-21); 中国科学院青年创新促进会项目(2020198).

作者简介 肖传民(1978-),男,辽宁普兰店人,工程师,博士,主要从事图像处理及高温合金等方面的研究.

*本文已于2021-07-14 09∶23在中国知网优先数字出版. 网络出版地址: http:∥kns.cnki.net/kcms/detail/21.1189.T.20210713.1420.018.html

doi:10.7688/j.issn.1000-1646.2021.04.07

中图分类号: TG 146.1

文献标志码: A

文章编号: 1000-1646(2021)04-0396-06

(责任编辑:尹淑英 英文审校:尹淑英)