四针状氧化锌晶须改性树脂基阻尼复合材料*

韩 珩a, 张伟琳b, 马 驰b

(沈阳化工大学 a. 机械与动力工程学院, b. 材料科学与工程学院, 沈阳 110142)

摘 要: 为了提高树脂基复合材料的阻尼及力学性能,通过两步法合成了四针状氧化锌晶须改性树脂基阻尼复合材料.利用动态黏弹谱仪、扫描电子显微镜、万能力学试验机等测试手段,研究了四针状氧化锌晶须含量对复合材料阻尼性能、热稳定性能、拉伸强度、硬度及冲击回弹性能的影响.结果表明:四针状氧化锌晶须的加入有效提高了复合材料的阻尼性能及热稳定性能,改善了其拉伸强度和硬度,但对其冲击回弹性不利;当四针状氧化锌晶须的质量分数达到5%时,复合材料的阻尼及力学性能达到最优.

关 键 词: 四针状氧化锌晶须; 阻尼材料; 阻尼性能; 接枝改性; 聚氨酯; 环氧树脂; 力学性能; 断面形貌

阻尼材料是指可以将机械能转化为其他形式能而耗散掉的一类功能材料[1],其在航空航天、机械制造、建筑材料以及汽车制造等领域具有广泛的应用前景.在实际使用过程中常要求阻尼材料具有良好的阻尼性能和力学性能.聚氨酯(PU)材料由于结构中含有氨基甲酸酯基团,在适当比例条件下具有良好的抗冲击和高弹性,因而常被作为阻尼材料使用,但聚氨酯材料的损耗因子不高且阻尼温域比较窄(只有20~30 ℃),限制了其在阻尼材料方面的应用范围.在保持原有聚氨酯物理性能的同时,有效提升材料的阻尼性能,已成为近年来国内外学者的研究热点.为了增强聚氨酯的阻尼性能,常采用共混改性[2]、接枝改性[3]和互穿聚合物网络(IPN)[4]等方式来提升其阻尼性能.Chang等[5]采用基团贡献法对材料的阻尼性能进行了系统研究,结果表明,苯环结构和枝化结构有利于材料阻尼性能的提升.由于环氧树脂能够赋予复合材料良好的物理性能[6],刘立洁等[7]测试了聚氨酯与环氧树脂合成互穿聚合物网络的阻尼性能,结果表明,加入环氧树脂形成互穿聚合物网络有效提高了材料的阻尼性能,但随着环氧树脂含量的增加,两相相容性变差,逐步发生相分离,使得材料的阻尼性能反而降低.加入无机小分子填料是提升阻尼性能的另一种有效方法[8].四针状氧化锌(T-ZnOw)是一种具有空间三维立体结构的无机晶体材料,且强度高,耐磨性好,可以与高分子材料进行复合,从而赋予材料优异的阻尼性能和力学性能[9-11].郭创奇等[12]将纳米氧化锌加入聚氨酯中后发现,聚氨酯阻尼系数随着纳米氧化锌加入量的增大而大幅提升,且纳米氧化锌的分散效果对阻尼性能具有重要影响.本文通过两步法合成了一系列T-ZnOw掺杂的环氧树脂枝化改性聚氨酯阻尼复合材料,研究了T-ZnOw加入量对复合材料力学性能、阻尼性能和耐热性能的影响.

1 实 验

1.1 试剂与仪器

主要实验试剂包括产自天津大茂化学试剂厂的TDI-80型甲苯二异氰酸酯(分析纯)、产自沈阳聚氨酯有限公司的X1200型聚己二酸乙二醇(分析纯)、产自济南源宝来化工科技有限公司的E-44型环氧树脂(分析纯)、产自苏州湘园化工有限公司的MOCA-HR型3,3-二氯-4,4-二氨基二苯基甲烷(分析纯)、产自美国康道宁公司的Z-6011型硅烷偶联剂以及根据文献[13]方法自制的T-ZnOw.经测量T-ZnOw晶须任意两针夹角为109°,针体部分长度为40~50 μm,针基部分直径为2~3 μm,长径比为16~20.主要实验仪器包括购自北京中西远大科技有限公司的M338871型恒温磁力搅拌油浴锅、购自上海精宏实验设备有限公司的XMTD-8222型烘箱、购自常州国华电器厂的JJ-1型搅拌器以及购自巩义市英峪予华仪器厂的SHZ-D型循环式真空泵.

1.2 实验方法

1.2.1 T-ZnOw预处理

首先在2 000 mL丙酮溶液中加入1%偶联剂Z-6011并充分搅拌,然后加入T-ZnOw并搅拌15 min,随后在室温70 Hz条件下进行超声波分散处理30 min,最后在60 ℃条件下干燥48 h,将溶剂蒸发后制得经偶联剂处理的T-ZnOw.

1.2.2 复合材料制备

将异氰酸酯指数为2的TDI和X1200加入三口瓶中,搅拌60 min后合成聚酯型PU预聚体,并测定残留异氰酸根含量.随后将聚氨酯预聚体(环氧值与活泼氢含量比例为2∶1)加入已预热至65 ℃的环氧树脂中,在氮气保护条件下反应20 min后,向体系中加入T-ZnOw(质量分数为0~7%),剧烈搅拌30 min并进行超声波分散.根据残留异氰酸根含量与环氧值加入适量MOCA搅拌均匀后,将混合溶液放入真空脱泡机在-0.09 MPa相对真空度下脱除气泡.最后将产物倒入聚四氟乙烯模具中并将模具放入120 ℃烘箱中固化3 h,并在60 ℃熟化48 h,制得一系列掺杂不同含量T-ZnOw的复合材料.

1.3 测试与表征

采用产自美国Bruker公司的Bruker TENSORⅡ型傅里叶红外光谱仪对复合材料分子结构进行表征,并对其进行全反射红外测试,波数范围为500~4 000 cm-1,扫描次数为16次.采用产自美国PerkinElmer公司的Diamond型动态黏弹谱仪在拉伸模式下测试试样的阻尼温域与阻尼系数值,试样尺寸为10 mm×10 mm×4 mm,温度范围介于-50~150 ℃,升温速率为3 ℃/min,测试频率为1 Hz.采用购自深圳瑞格尔仪器有限公司的RGL-30A型万能实验机,按照GB/T528-2009测定试样的拉伸强度,试样尺寸为155 mm×6 mm×2 mm,拉伸速率为500 mm/min.采用购自日本电子公司的JSM-6360LV型扫描电子显微镜观察经液氮淬断和喷金处理后的复合材料断面形貌.采用购自北京时代之峰科技有限公司的TH200型邵氏A硬度计测定试样硬度.采用产自德国耐驰公司的TG-209F1型热重分析仪对试样进行热失重分析,试样质量为4~6 mg,保护气体为氮气,升温速率为10 ℃/min,温度范围为35~600 ℃.采用产自高铁检测仪器(东莞)有限公司的GT-7042-RDA型回弹实验机按照GB/T1681-2009测定试样的回弹性.

2 结果与讨论

2.1 复合材料的断面形貌

图1为T-ZnOw掺杂复合材料断口的SEM图像.由图1a可见,当添加质量分数为5%的T-ZnOw后,可以清楚地观察到T-ZnOw嵌入的原始痕迹,且聚合物基体中的T-ZnOw具有良好的分散性.图1b中T-ZnOw晶须呈四角状结构,制备得到的T-ZnOw晶型良好,可以紧密嵌入聚合物基体中,且晶须与聚合物基体间的界面比较模糊,表明T-ZnOw与聚合物基体之间存在良好的界面粘结,通过偶联剂作用使晶须与聚合物基体间相容性更好,因而晶须能够充分发挥自身作用.由图1c可见,由质量分数为7%的T-ZnOw掺杂的复合材料中少部分晶须发生了团聚,使得复合材料内相分离的影响更加显著,因而降低了复合材料的阻尼性能和拉伸强度.

2.2 复合材料的红外光谱

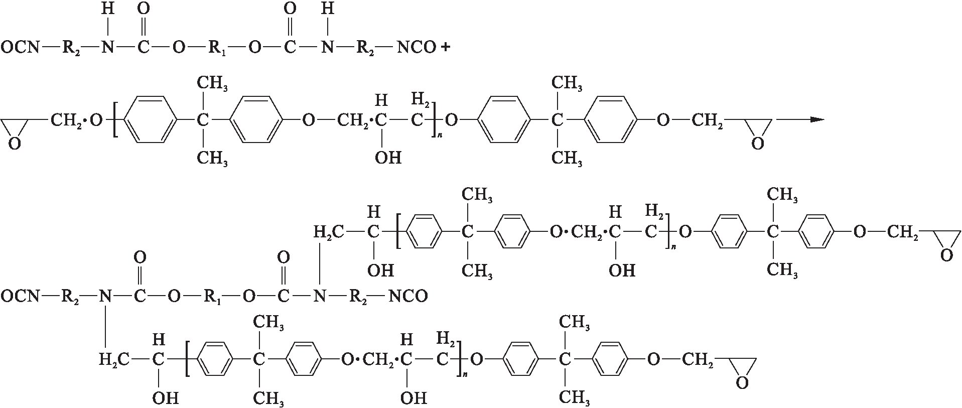
图2为添加T-ZnOw和未添加T-ZnOw的复合材料的红外光谱.采用两步法合成聚合物基体时,在聚氨酯预聚体中引入了环氧基团.

首先TDI与X1200反应生成预聚体,然后环氧基团与氨基甲酸酯的活泼氢发生反应生成环氧树脂枝化改性聚氨酯,最后所得产物再与固化剂发生反应,形成交联网络结构并固化成型.具体反应式为

图1 复合材料的SEM图像
Fig.1 SEM images of composites

图2 复合材料的红外光谱
Fig.2 FTIR spectra of composites

由图2可见,聚氨酯上的C==O吸收峰由于N—H键上活泼氢的消耗而移动到了1 750 cm-1处,环氧树脂中环氧基的特征峰出现在914 cm-1处,而3 289 cm-1处的红外吸收峰证明了产物中羟基的存在,2 275 cm-1处并未出现异氰酸根的特征吸收峰,表明聚氨酯固化反应完全.观察图2可以发现,T-ZnOw的加入并未对聚合物分子结构造成显著影响,但是在1 658 cm-1和984 cm-1处出现两个新的吸收峰,且分别对应偶联剂中Si—O和Si—H的吸收振动峰.此外,加入T-ZnOw晶须后,3 200~3 400 cm-1处峰高的增长表明晶须与基体间形成的氢键加强了分子间的作用力,从而使得吸收振动峰加强.

2.3 复合材料的动态力学性能

图3为T-ZnOw掺杂复合材料的动态热机械(DMA)曲线,具体DMA数据如表1所示.由图3可见,T-ZnOw有效提高了复合材料的最大损耗因子(阻尼峰值).由表1可见,当加入质量分数

为1%的T-ZnOw时,最大损耗因子达到最大值1.68.当T-ZnOw含量为5%时,虽然最大损耗因子相比之前有所下降,但复合材料的阻尼温域由26~150 ℃变为45~150 ℃.T-ZnOw具有独特的正四面体结构,四个角指向正四面体的四个顶点,这种结构在和聚合物复合时,四个角与聚合物接触面积更大,限制了聚合物分子链的运动,在受到外界力的作用后需要更多的能量才能使分子链运动.将T-ZnOw加入复合材料后,通过偶联剂作用会形成基体与偶联界面以及偶联界面与晶须表面界面两个新的界面,外界的机械振动可以通过这两个新界面进行传导且会消耗能量,因而T-ZnOw的加入可使复合材料的阻尼峰值得以提升.此外,T-ZnOw的加入也打乱了聚氨酯结构的规整性,很难形成较大范围的硬段区与软段区,体系中会出现更多尺度更小的微相分离区.动态热机械曲线的峰值温度反映的是各种链段运动最剧烈的温度,多尺度微相分离区的存在使得复合材料的阻尼温域发生变化.当加入质量分数为7%的T-ZnOw后,复合材料的最大损耗因子明显降低,这是由于当T-ZnOw加入量过大时,体系粘度增大,更易发生团聚,分散性变差,从而使复合材料的阻尼性能下降.

图3 复合材料的DMA曲线
Fig.3 DMA curves of composites

表1 复合材料的DMA数据
Tab.1 DMA data of composites

w(T-ZnOw)/%最大损耗因子阻尼温域/℃01.093~15011.6826~15031.3836~15051.6345~15071.1547~137

2.4 复合材料的力学性能

图4为T-ZnOw掺杂复合材料的拉伸强度和断裂伸长率曲线.由图4可见,随着T-ZnOw含量的增加,复合材料的拉伸强度不断增大,当加入质量分数为5%的T-ZnOw后达到峰值17.3 MPa,而当继续增加T-ZnOw时,复合材料的拉伸强度反而降低.复合材料的断裂伸长率随着T-ZnOw的不断增加而显著下降.出现这种现象的原因为:采用偶联剂处理过的晶须表面与基体之间形成的氢键加强了分子间作用力,改善了基体与晶须的相容性.当外界作用力施加在试样上时,T-ZnOw特殊的四角状结构可以更好地由聚合物基体传递到无机粒子,且T-ZnOw模量较高(远大于聚合物基体本身),因而具有更强的抵抗外力的作用.此外,聚合物基体中环氧树脂的引入也提升了材料抵御外界应力的能力,从而使复合材料的拉伸强度增大.随着晶须含量的继续增加,过量晶须导致材料出现了相分离,使得复合材料的拉伸强度下降.由于T-ZnOw具有较低的断裂伸长率,因而复合材料的断裂伸长率随着T-ZnOw含量的增加而不断降低.

图4 复合材料的拉伸强度和断裂伸长率
Fig.4 Tensile strength and fracture elongation of composites

图5为T-ZnOw掺杂复合材料的硬度.由图5可见,随着T-ZnOw含量的增加,复合材料的硬度不断增强,这是因为T-ZnOw属于刚性无机粒子,对复合材料起到了补强作用.

图5 复合材料的硬度
Fig.5 Hardness of composites

2.5 复合材料的冲击回弹性

聚合物基阻尼材料的冲击回弹性往往也十分重要.图6为T-ZnOw掺杂复合材料的冲击回弹性曲线.由图6可见,当未加入T-ZnOw时,复合材料的冲击回弹性为35%,明显低于传统TDI型聚氨酯材料[14],这主要是由于聚氨酯体系中引入了环氧树脂,环氧树脂分子中含有较多的苯环基团,因而具有较强的刚性,且环氧树脂与聚氨酯中氨基甲酸酯基团上的活泼氢接枝,使得环氧树脂带有一个很大的侧链,不仅通过物理约束限制了分子链运动,而且改善了微相分离结构,使得软段分子链更不易运动,因此,复合材料的冲击回弹性明显低于传统TDI型聚氨酯.由图6可以观察到,随着T-ZnOw含量的增加,复合材料的冲击回弹性逐渐降低.当T-ZnOw含量为5%时,复合材料的冲击回弹性降低到了27%,这主要是由于T-ZnOw作为一种无机粒子,其刚性明显高于普通聚合物,因而T-ZnOw的加入会使体系的冲击回弹性降低.阻尼材料需要在受到外界冲击时尽可能地将能量吸收并耗散掉,弹性过高的材料,往往能量损耗较少,因而不适合作为阻尼材料使用,但是弹性过低的材料的硬度往往过大,也不利于材料阻尼性能的提升.

图6 复合材料的冲击回弹性能
Fig.6 Impact resilience of composites

2.6 复合材料的热失重分析

图7为T-ZnOw掺杂复合材料的热失重(TG)曲线.由图7可见,当复合材料失重率为5%时,未添加与添加T-ZnOw复合材料的分解温度分别为260 ℃和264 ℃,表明T-ZnOw的加入提高了材料的初始分解温度,改善了材料的热稳定性.这是由于T-ZnOw的加入增强了复合材料的热传导性[15],一定程度上减弱了热量集中,从而提高了材料的热稳定性.

图7 复合材料的TG曲线
Fig.7 TG curves of composites

3 结 论

T-ZnOw的加入有效提升了环氧树脂枝化改性聚氨酯阻尼复合材料的力学性能、阻尼性能和耐热性能,为设计优良的阻尼材料提供了一条有效途径.当T-ZnOw含量为1%时,复合材料的阻尼系数达到最大值1.68,但此时复合材料的力学性能未得到大幅增强.当T-ZnOw含量超过5%时,材料的阻尼系数有所下降,但复合材料的拉伸强度可以达到最大值17.3 MPa,复合材料硬度也得到显著提升.复合材料的冲击回弹性随着T-ZnOw含量的增加不断降低.加入质量分数为5%的T-ZnOw晶须后,复合材料的热稳定性得到改善.综合考虑,当T-ZnOw加入量为5%时,复合材料的阻尼性能和力学性能最佳,且热稳定性也较好.

参考文献(References):

[1]Bajkowski J M,Dyniewicz B,Bajer C I.Damping properties of a beam with vacuum-packed granular damper [J].Journal of Sound and Vibration,2015,341:74-85.

[2]Ramani R,Alam S.Free volume and damping in a miscible high performance polymer blend:positron annihilation life time and dynamic mechanical thermal analysis studies [J].Journal of Applied Polymer Science,2016,133(6):1-9.

[3]徐新宇,谢淼,于浩,等.羟基改性的多壁碳纳米管接枝聚氨酯泡沫的制备及性能研究 [J].中国塑料,2019,33(5):43-48.

(XU Xin-yu,XIE Miao,YU Hao,et al.Preparation and properties of polyurethane-based soft foams grafted with hydroxyl-modified multi-walled carbon nanotubes [J].China Plastics,2019,33(5):43-48.)

[4]闫晓琦,尹朝辉,罗顺,等.聚氨酯阻尼材料的研究进展 [J].中国胶粘剂,2018,27(4):46-49.

(YAN Xiao-qi,YIN Zhao-hui,LUO Shun,et al.Research progress of polyurethane damping materials [J].China Adhesives,2018,27(4):46-49.)

[5]Chang M C O,Thomas D A,Sperling L H.Group contribution analysis of the damping behavior of homopolymers,statistical copolymers,and interpenetrating polymer networks based on acrylic,vinyl,and styrenicmers [J].Journal of Polymer Science Part B:Polymer Physics,1988,26(8):1627-1640.

[6]厉安昕,毛萍莉,梁兵.磷氮阻燃固化剂对环氧树脂阻燃性能的影响 [J].沈阳工业大学学报,2020,42(5):520-525.

(LI An-xin,MAO Ping-li,LIANG Bing.Effect of phosphorus nitrogen flame retardant curing agent on flame retardancy of epoxy resins [J].Journal of Shenyang University of Technology,2020,42(5):520-525.)

[7]刘立洁,刘明光.聚氨酯/环氧树脂互穿网络聚合物性能研究 [J].聚氨酯工业,2017,32(5):63-65.

(LIU Li-jie,LIU Ming-guang.Study on properties of polyurethane/epoxy resin IPNs [J].Polyurethane Industry,2017,32(5):63-65.)

[8]李连震,李琳琳,管勇,等.不同无机填料对聚氨酯阻尼材料性能的影响 [J].化工进展,2019,38(8):3795-3800.

(LI Lian-zhen,LI Lin-lin,GUAN Yong,et al.Properies of polyurethane damping material with different in-organic filler [J].Chemical Industry and Engineering Progress,2019,38(8):3795-3800.)

[9]马驰,孙明月,纪汉锋,等.四脚状氧化锌晶须/热塑性聚氨酯复合材料力学和电性能研究 [J].当代化工,2018,47(7):1328-1331.

(MA Chi,SUN Ming-yue,JI Han-feng,et al.Study on mechanical and electrical properties of T-ZnO/TPU composites [J].Contemporary Chemical Industry,2018,47(7):1328-1331.)

[10]陈桓.聚丙烯/四针状氧化锌晶须复合材料的制备与性能研究 [J].中国塑料,2017,31(7):58-62.

(CHEN Huan.Study on preparation and properties of PP/tetrapod-shaped ZnO whisker composites [J].China Plastics,2017,31(7):58-62.)

[11]刘红,高翠翠,罗小春.四针状氧化锌晶须的性能及应用 [J].广州化工,2017,45(7):8-10.

(LIU Hong,GAO Cui-cui,LUO Xiao-chun.Properties and application of tetrapod-like ZnO whisker [J].Guangzhou Chemical Industry,2017,45(7):8-10.)

[12]郭创奇,朱其仁,郑震,等.聚氨酯/纳米氧化锌复合材料的动态力学性能[R].北京:2005 年全国高分子学术论文报告会,2005.

(GUO Chuang-qi,ZHU Qi-ren,ZHENG Zhen,et al.Dynamic mechanical properties of polyurethane/nano zinc oxide composites[R].Beijing:National Polymer Academic Papers,2005.)

[13]陈尔凡,田雅娟,程远杰,等.四脚状氧化锌晶须的制备及微观形态研究 [J].高等学校化学学报,2000,21(2):172-176.

(CHEN Er-fan,TIAN Ya-juan,CHENG Yuan-jie,et al.A study of preparing and morphology of tetrapod-like ZnO whiskers [J].Chemical Research in Chinese Universities,2000,21(2):172-176.)

[14]刘凉冰.聚氨酯弹性体回弹性能的影响因素 [J].弹性体,2017,27(2):66-73.

(LIU Liang-bing.Influencing factors of resilience of polyurethane elastomer [J].China Elastomerics,2017,27(2):66-73.)

[15]熊梦,黄志雄,吕雪松,等.四针状氧化锌晶须/互穿网络聚合物复合材料研究 [J].热固性树脂,2017,32(4):24-28.

(XIONG Meng,HUANG Zhi-xiong,LÜ Xue-song,et al.Study on the tetrapod-like ZnO whiskers/interpenetrating polymer network composites [J].Thermosetting Resin,2017,32(4):24-28.)

Tetrapod-like ZnO whisker modified resin-based damping composites

HAN Henga, ZHANG Wei-linb, MA Chib

(a. School of Mechanical and Power Engineering, b. School of Materials Science and Engineering, Shenyang University of Chemical Technology, Shenyang 110142, China)

Abstract In order to improve the damping and mechanical properties of resin-based composites, tetrapod-like ZnO whisker modified resin-based damping composites were synthesized by a two-step method. The effect of tetrapod-like ZnO whisker content on the damping, thermal stability, tensile strength, hardness and impact resilience of composite was studied by using dynamic viscoelastic spectrometer, scanning electron microscope (SEM), universal mechanical testing machine and other testing methods. The results show that the addition of tetrapod-like ZnO whisker effectively improves the damping properties and thermal stability of composite, improves its tensile strength and hardness, but has unfavorable effects on its impact resilience. When the mass fraction of tetrapod-like ZnO whisker reaches 5%, the damping and mechanical properties of composite present the optimal values.

Key words tetrapod-like ZnO whisker; damping material; damping property; graft modification; polyurethane; epoxy resin; mechanical property; fracture morphology

收稿日期 2020-09-21.

基金项目 辽宁省博士科研启动基金项目(20170520080); 辽宁省“兴辽英才计划”青年拔尖人才项目(XLYC1807007); 辽宁省高等学校创新人才支持计划项目(LR2019054); 沈阳市中青年科技创新人才项目(RC200415).

作者简介 韩 珩(1979-),男,河南周口人,讲师,博士,主要从事高分子材料摩擦学、机械结构设计及分析等方面的研究.

*本文已于2021-07-14 13∶50在中国知网优先数字出版. 网络出版地址: http:∥kns.cnki.net/kcms/detail/21.1189.T.20210713.1420.020.html

doi:10.7688/j.issn.1000-1646.2021.04.09

中图分类号: TQ 317.3

文献标志码: A

文章编号: 1000-1646(2021)04-0407-06

(责任编辑:尹淑英 英文审校:尹淑英)