互感器带电更换暂态影响及其优化方案*

刘 俭1,王斌武1,李立东2,姜春阳1,刘 鹍3

(1.中国电力科学研究院有限公司 计量所,武汉 430074;2.华中科技大学 电气与电子工程学院,武汉 430074;3.国网四川省电力公司 电力科学研究院,成都 610041)

摘 要:针对电力互感器带电更换过程中产生的暂态影响问题,利用PSCAD软件搭建互感器带电更换仿真模型,对带电更换互感器产生的暂态影响进行仿真分析,并提出在电压互感器的一次侧串接阻尼器件的优化方案.仿真结果表明,电压互感器断开时,通过优化方案可使其谐波含量最高的三次谐波由未优化的4.430%降低到0.049%,电压互感器接入时,通过优化方案可使谐波含量最高的二次谐波由未优化的8.00%降低到6.90%,并且其他次谐波含量也有显著降低,即串接阻尼结构的优化方案可以改善电压互感器带电更换过程中的电能质量.

关 键 词:互感器;带电更换;配网系统;暂态影响;PSCAD软件;仿真模型;电能质量;阻尼结构

电力互感器是电力系统中用于电能计量、电流测量和继电保护的重要设备.采用互感器测量除了可以将测量回路与高压电网隔离外,还可以方便地用低量程计量表测量高电压和大电流.但互感器的检修或更换必须进行断电操作,因此影响配网供电可靠性,并降低了互感器带电检修自动化水平.

电压互感器和电流互感器在带电更换时,会对互感器本身和配网系统产生一系列暂态影响,包括可能引起的互感器饱和、铁磁谐振、配网电流和电压谐波增加等,这些暂态过程会降低配网系统的供电可靠性,严重的甚至会影响配网系统的正常运行.其中,电压互感器的铁磁谐振现象被认为是引起互感器支路故障的主要原因[1-2].

现有文献大多利用仿真软件直接研究互感器暂态过程或电力系统故障条件下的暂态过程[3-5],而少有研究互感器的带电更换优化方案.本文利用PSCAD软件建立互感器带电更换仿真模型,对电流互感器与电压互感器带电接入和退出过程进行仿真.根据仿真结果可知,电流互感器的带电更换对互感器以及配网的影响较小,而电压互感器的带电更换可能引起铁磁谐振现象,且对配网有一定的影响.为抑制电磁式电压互感器在直接接入过程中的暂态谐振状态,提出电压互感器带电更换的优化方案.考虑在电压互感器一侧串接一个高阻值的阻尼器件,在电压互感器接入时通过该阻尼器件接入,接入后通过开关短接该器件;在退出时,取消短接开关,使阻尼器件接入电压互感器一侧,再操作电压互感器相应机构使电压互感器退出,完成更换过程,从而减小电磁式电压互感器带电更换过程产生的影响.

1 仿真模型

1.1 电流互感器模型

电力系统中一般使用电磁式电流互感器,通过铁心磁场建立互感器一次侧与二次侧之间的联系.因此,根据描述铁心磁化过程原理的不同,可采用不同的电流互感器建模方法[6-8].

目前,用于电力系统电磁暂态仿真的电流互感器模型主要分为3类:1)基于基本励磁曲线的静态模型;2)基于动态磁化特性的动态模型;3)非线性时域等效电路模型,包括基于非线性等效电路的Lucas模型和基于Jile-Atherton铁磁材料理论的J-A模型[9].

电流互感器的Lucas模型是将互感器铁心的所有非线性因素单独用表达式示出,并进行线性叠加.在Lucas模型的等效电路中,用几个非线性电路元件表示这些非线性因素[10].电流互感器J-A模型是1984年由David Jiles和D.L.Atherton所提出[11],该理论利用一组非线性方程组近似模拟不同状况下铁心励磁特性.

由于非线性时域等效模型的仿真精确度较高,具有良好的时频特性,能够与测量波形吻合,因此在仿真模型中较为通用.在PSCAD电磁暂态仿真软件中,电流互感器的Lucas模型与J-A模型可以分别由不同的内置元件表示.本文仿真采用电流互感器J-A模型.当电流互感器一次侧含有暂态电流时,其中大量的非周期分量可能会使得铁心发生饱和,二次侧电流发生畸变与失真[12],严重的情况下还会使继电保护装置发生误动作.

1.2 电压互感器模型

V/V接线是两个电压互感器典型接线方式,供仪表和继电器测量三相三线制电路的各线电压,被广泛应用于变电站6~10 kV配电装置中.

电压互感器的铁心是非线性的励磁电感,在暂态过程中系统两相或三相对地电压抬升.由于电感值降低,可能会与对地电容发生谐振,产生谐振过电压,威胁系统的安全运行[11-12].

1.3 互感器带电更换仿真模型

在PSCAD软件中搭建35 kV/10 kV变电站及配网线路,其中35 kV侧使用三相电压源模型表示,10 kV侧连接到架空输电线路和固定负载上,配电网变压器选择额定容量为20 MVA的35 kV/10 kV变压器,35 kV侧电源通过3 MΩ电阻接地.根据国家标准GB50613-2010《城市配电网规划设计规范》中的规定,10 kV中压配电网的中性点采用不直接的接地方式[10-12],因此,本文模型采用大电阻接地.

根据上文所述,基于PSCAD软件搭建了电流互感器和电压互感器带电更换仿真模型,如图1所示.其中RRL表示电源侧阻抗,BRK表示断路器.该模型由电流互感器/电压互感器模块和断路器控制模块等组成,其中,断路器控制模块由3个断路器分别控制线路上各个断路器的开断动作.

图1 互感器带电更换仿真模型示意图
Fig.1 Schematic diagram of simulation model for live replacement of transformers

2 仿真结果与分析

2.1 电流互感器带电更换仿真

设电流互感器在0.18 s时断开,在1.2 s时重新接入.电流互感器接入及断开前后,电流互感器一次侧电流谐波含量如表1所示.

表1 电流互感器带电更换引起的谐波含量
Tab.1 Harmonic content caused by live replacement of current transformers %

谐波次数断开前含量断开后含量接入后含量二次0.3310.242<0.01三次0.1530.137<0.01四次0.0100.098<0.01五次0.0760.077<0.01六次0.0610.065<0.01七次0.0520.057<0.01

仿真得到电流互感器一次侧电流波形Ia1、二次侧电流波形Ia2和配网电流波形Ia如图2、3所示.电流互感器在带电更换过程中的B-H曲线如图4所示.

图2 电流互感器带电更换仿真波形
Fig.2 Simulated waveforms of live replacement of current transformers

图3 电流互感器带电更换配网电流波形
Fig.3 Waveform of distribution grid current during live replacement of current transformers

图4 电流互感器B-H曲线
Fig.4 B-H curve of current transformer

由上述仿真结果可以看出,电流互感器带电更换不会使互感器本身发生饱和,且对配网的影响较小.根据国家标准GB/T 14549-93《电能质量公用电网谐波》中的相关规定,10 kV配网中奇次谐波相电压含有率应低于3.2%,偶次谐波相电压含有率应低于1.6%.仿真结果表明,电流互感器带电更换满足电力系统电能质量的相关要求.

2.2 电压互感器带电更换仿真结果

设置电压互感器在0.5 s时断开,在1.0 s时重新接入,电压互感器接入及断开前后,电力系统一次侧相电压各次谐波含量如表2所示.

表2 电压互感器带电更换引起的谐波含量
Tab.2 Harmonic content caused by live replacement of potential transformers %

谐波次数断开前含量断开后含量接入后含量二次0.01<0.018.00三次4.43<0.013.55四次<0.01<0.010.56五次0.11<0.010.11六次<0.01<0.010.15七次1.23<0.011.02

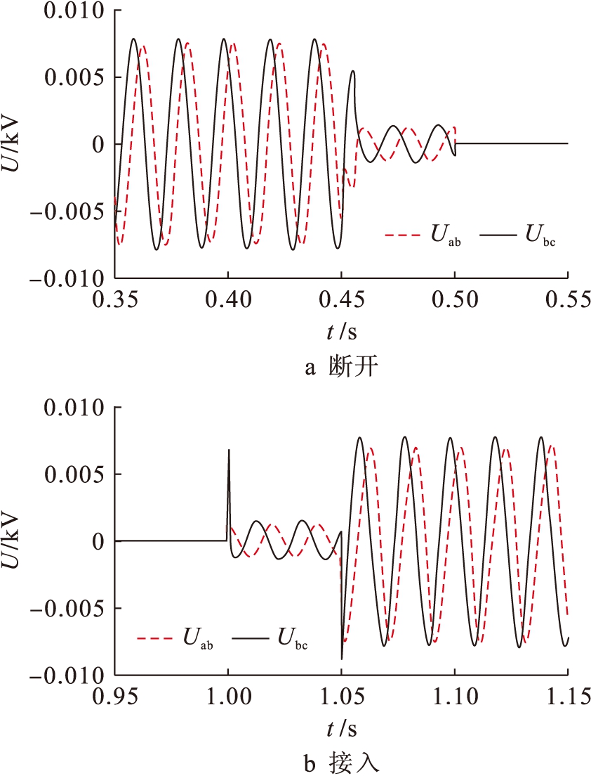
仿真得到电压互感器线电压波形UabUbc和配网电流波形Ia如图5、6所示.电压互感器在带电更换过程中的Ψ-I曲线如图7所示.

图5 电压互感器带电更换线电压波形
Fig.5 Waveforms of line voltages during live replacement of potential transformers

图6 电压互感器带电更换配网电流波形
Fig.6 Waveform of distribution grid current during live replacement of potential transformers

图7 电压互感器Ψ-I曲线
Fig.7 Ψ-I curve of potential transformer

由仿真结果可以看出,电压互感器带电更换可能会使互感器本身发生饱和,产生铁磁谐振现象,且对配网有一定影响.当电压互感器线路中断时,Uab瞬间达到峰值的1.66倍;当电压互感器接入到线路中时,Ubc瞬间达到峰值的1.13倍,且电力系统一次侧相电压谐波含量大幅增加.仿真结果表明,电压互感器带电更换会发生饱和,不能满足电能质量的相关要求,且在更换瞬间易出现过电压.

3 互感器带电更换优化方案与设计

3.1 优化设计方案

由于电压互感器带电更换所产生的暂态过程会对配网产生一定的影响,因此,需要对电压互感器带电更换方案进行优化设计.

因电磁式电压互感器呈感性,若直接接入电力系统,其暂态过程可能会引起铁磁谐振现象.为了抑制电磁式电压互感器在直接接入过程中的暂态谐振状态,本文在电压互感器的一次侧串接一个阻值为5 kΩ的电阻阻尼器件,在电压互感器接入时通过该阻尼器件接入,其后通过开关短接该器件;在退出时,取消短接开关,使阻尼器件接入电压互感器一侧,然后再操作相应机构使电压互感器退出,完成电压互感器更换.一侧串接阻尼器件的电压互感器示意图如图8所示.

图8 串接阻尼结构的电压互感器示意图
Fig.8 Schematic diagram of potential transformer with damping structure in series

3.2 优化方案仿真

根据上述设计方案搭建仿真模型如图9所示.在阻尼回路模块中,设置3个断路器的动作时间,使得在电压互感器断开前将该高阻尼电阻接入回路中,而在电压互感器接入后将其短接.设置电压互感器在0.5 s时断开,在1.0 s时重新接入.仿真得到的接有高阻尼电阻结构的电压互感器电压波形如图10所示.

图9 接入阻尼回路后的仿真模型
Fig.9 Simulation model with damping circuit

图10 优化后电压互感器带电更换线电压波形
Fig.10 Waveforms of line voltages during live replacement of potential transformers after optimization

由仿真结果可以看出,在断开电压互感器时,三次谐波含量最高,通过优化方案可使三次谐波含量由未优化的4.430%降低到0.049%;在接入电压互感器时,二次谐波含量最高,通过优化方案可使二次谐波含量由未优化的8.00%降低到6.90%.使用接入阻尼电阻的优化方案可以有效抑制电磁谐振现象的发生,抑制互感器更换瞬间的过电压,从而提高电力系统的稳定性和电能质量.

4 结 论

为研究带电更换互感器所引起的暂态影响,改进配网互感器停电操作的弊端,文中利用PSCAD软件建立互感器带电更换仿真模型,可以得到以下结论:

1)电流互感器带电更换不会发生互感器饱和现象,从而对配网的影响有限,满足配网电能质量的要求;

2)电压互感器带电更换会发生互感器饱和现象,引发铁磁谐振现象,从而对配网有较大影响,不满足配网电能质量的要求.通过串接一个高阻值的阻尼器件,可以改善电压互感器带电更换过程中产生的暂态影响.本文研究的互感器带电更换优化方案,为提高配网互感器带电检修自动化水平和配网供电可靠性均提供了技术支撑.

参考文献(References):

[1]蔡春元,李昕锐,李红斌,等.10 kV高压电能计量装置电压互感器杂散电容对高压熔断器的影响研究 [J].电测与仪表,2018,55(16):13-18.

(CAI Chun-yuan,LI Xin-rui,LI Hong-bin,et al.Research on the effect of a stray capacitance of TV on the high voltage fuse in 10 kV high voltage electric energy metering device [J].Electrical Measurement &Instrumentation,2018,55(16):13-18.)

[2]赵梦雅,梁志瑞.配电网TV高压熔断器熔断影响因素的分析 [J].电测与仪表,2016,53(21):76-81.

(ZHAO Meng-ya,LIANG Zhi-rui.The analysis on the influence factors of TV fuses blowing in the distribution network [J].Electrical Measurement &Instrumentation,2016,53(21):76-81.)

[3]苑博,邱湘可.基于PSCAD/EMTDC的小电流接地系统单相接地故障的仿真研究 [J].电子设计工程,2015(4):36-39.

(YUAN Bo,QIU Xiang-ke.Simulation study of single-phase grounding fault in small current neutral grounding system [J].Electronic Design Engineering,2015(4):36-39.)

[4]韩晓雯.基于PSCAD的电力系统电磁暂态和机电暂态混合仿真研究 [D].北京:华北电力大学,2016.

(HAN Xiao-wen.Research of power system electromagnetic transient and electro mechanical transient hybrid simulation based on PSCAD [D].Beijing:North China Electric Power University,2016.)

[5]汤仁彪.基于PSCAD的直流斩波电路的仿真 [J].现代电子技术,2010,33(13):209-210.

(TANG Ren-biao.Simulation of DC chopping circuit based on PSCAD [J].Modern Electronics Technique,2010,33(13):209-210.)

[6]王光峰,张长胜,李川,等.直流电子式电流互感器校验仪设计与实现 [J].电子科技,2018,31(5):12-15.

(WANG Guang-feng,ZHANG Chang-sheng,LI Chuan,et al.DC verification of design and implementation of electronic transformer [J].Electronic Science and Technology,2018,31(5):12-15.)

[7]熊兰,周健瑶,宋道军,等.基于改进J-A磁滞模型的电流互感器建模及实验分析 [J].高电压技术,2014,40(2):482-488.

(XIONG Lan,ZHOU Jian-yao,SONG Dao-jun,et al.Modeling and experimental analysis of current transformer based on modified J-A hysteretic model [J].High Voltage Engineering,2014,40(2):482-488.)

[8]Kotheimer W C,Annakkage U D,Mclaren P G,et al.A current transformer model based on the Jiles-Atherton theory of ferromagnetic hysteresis [J].IEEE Transactions on Power Delivery,2000,15(4):1323-1324.

[9]戚宣威,尹项根,李甘,等.一种电流互感器仿真分析平台构建方法 [J].电力系统保护与控制,2015,43(22):69-76.

(QI Xuan-wei,YIN Xiang-gen,LI Gan,et al.A construction method for the simulation platform for the analysis of the current transformer [J].Power System Protection and Control,2015,43(22):69-76.)

[10] 魏菊芳,唐庆华,王飞,等.小电流接地系统电压互感器铁磁谐振过电压与抑制措施仿真分析 [J].电网与清洁能源,2015,31(12):48-56.

(WEI Ju-fang,TANG Qing-hua,WANG Fei,et al.Simulation analysis for ferromagnetic resonance of potential transformer and restraining measures in small current neutral grounding-system [J].Power System and Clean Energy,2015,31(12):48-56.)

[11] 刘建.电力系统10 kV配电网接地方式分析 [J].设备管理与维修,2018(12):128-129.

(LIU Jian.Grounding analysis of 10 kV distribution network in power system [J].Plant Maintenance Engineering,2018(12):128-129.)

[12] 聂琪,李登云,胡浩亮,等.一种直流互感器暂态校验装置及校验算法设计 [J].沈阳工业大学学报,2020,42(3):264-269.

(NIE Qi,LI Deng-yun,HU Hao-liang,et al.Design of a transient calibration device and algorithm for DC transformer [J].Journal of Shenyang University of Technology,2020,42(3):264-269.)

Transient effect of live replacement and its optimization scheme for transformers

LIU Jian1,WANG Bin-wu1,LI Li-dong2,JIANG Chun-yang1,LIU Kun3

(1.Department of Metrology,China Electric Power Research Institute Co.Ltd.,Wuhan 430074,China;2.School of Electrical and Electronic Engineering,Huazhong University of Science and Technology,Wuhan 430074,China;3.Electric Power Research Institute,State Grid Sichuan Electric Power Company,Chengdu 610041,China)

AbstractAiming at the problem of transient effect during the live replacement of power transformer,the PSCAD software was used to build the simulation model for live replacement of transformer.The transient effect of transformer due to live replacement was simulated and analyzed,and an optimization scheme of connecting damping devices in series at the primary side of potential transformer was proposed.The simulation results indicate that the third harmonic with the highest harmonic content can be reduced from 4.430% to 0.049% after optimization when the potential transformer is disconnected;the second harmonic with the highest harmonic content can be reduced from 8.00% to 6.90% after optimization when the potential transformer is connected.Other subharmonic contents can also be reduced significantly,indicating that this optimization method of connecting damping structures in series can obviously improve the power quality during the live replacement of potential transformer.

Key wordstransformer;live replacement;distribution grid;transient effect;PSCAD software;simulation model;power quality;damping structure

中图分类号:TM 933

文献标志码:A

文章编号:1000-1646(2021)05-0487-06

收稿日期2019-08-13.

基金项目国家重点研发计划项目(2017YFF02057010);国家电网公司科技项目(JL71-17-004).

作者简介刘 俭(1994-),男,山西襄汾人,工程师,硕士,主要从事配电网自动化技术等方面的研究.

*本文已于2021-09-03 18∶25在中国知网优先数字出版.网络出版地址:http:∥kns.cnki.net/kcms/detail/21.1189.T.20210903.1603.006.html

doi:10.7688/j.issn.1000-1646.2021.05.02

(责任编辑:景 勇 英文审校:尹淑英)