建筑工程

铁尾矿砂混凝土的应力-应变全曲线特性*

宁宝宽,徐永泽,崔 琨,王 宁

(沈阳工业大学 建筑与土木工程学院,沈阳 110870)

摘 要:针对不同铁尾矿砂掺量对混凝土应力-应变全曲线的影响,对5组不同铁尾矿砂掺量的棱柱体试件进行单轴受压应力-应变全曲线试验.结果表明:铁尾矿砂混凝土的破坏形态与普通混凝土基本相同,铁尾矿砂混凝土轴心抗压强度低于普通混凝土,当铁尾矿砂掺量为60%时,轴心抗压强度与普通混凝土相差最小;随着铁尾矿砂掺量的增加,混凝土刚度下降,抵抗弹性变形能力减弱,脆性增强;铁尾矿砂混凝土的应力-应变曲线分为上升段和下降段,通过拟合相关参数,提出了应力-应变全曲线方程表达式,拟合结果与试验数据较吻合.

关 键 词:铁尾矿砂混凝土;铁尾矿砂掺量;轴心受压试验;抗压强度;破坏形态;单轴受压应力-应变全曲线;拟合曲线;应力-应变全曲线方程

随着我国经济的快速发展,工业与民用建筑的数量越来越多,导致对混凝土的需求量迅猛增长,目前我国仅用于混凝土建筑的用砂量已达到年均20亿吨.建筑所用的普通砂通常为河砂,河砂的大量开采必然导致生态环境破坏,多个城市已明令禁止开采河砂.与此同时,我国各地矿山产生了大量的尾矿,废弃的尾矿不仅占用大量耕地,还污染环境.若用尾矿砂代替天然河砂配制混凝土,既能够解决天然河砂短缺的问题,又可以解决尾矿的危害[1].将铁尾矿砂用于配制混凝土的研究已经取得了较大成果,经过多年的试验研究,国内外许多学者对铁尾矿砂混凝土的配制技术、力学性能进行了改善和发展.李涛等[2]利用磨碎的粉状铁尾矿取代水泥,利用铁尾矿砂取代细骨料,研究了不同取代率下铁尾矿砂混凝土的工作性能与抗压性能.黄杰等[3]针对塑性混凝土具有弹性模量低、抗渗性及塑性变形特性良好等特点,利用尾矿砂配置了不同尾矿砂砂率和不同水泥掺量的塑性混凝土,对尾矿砂塑性混凝土试件分别进行了立方体抗压强度、轴心抗压强度以及弹性模量等试验.魏建利等[4]研究了铁尾矿砂混凝土配制技术,利用铁尾矿废料分别替代混凝土中的粗骨料、细骨料,从配制技术、力学性能、耐久性能等方面进行了综述.王光琦等[5]利用铁尾矿砂取代细骨料,比较同等级铁尾矿砂混凝土与普通混凝土的强度性能.

目前,国内外针对铁尾矿砂混凝土单轴受压应力-应变全曲线均已开展了相关研究.康洪震等[6]采用铁尾矿砂替代普通砂制备强度等级为C20~C55的混凝土,分析了不同强度等级下铁尾矿砂混凝土单轴受压应力-应变全曲线;王冬卫[7]对不同强度等级铁尾矿砂混凝土的应力-应变全曲线进行了研究,通过试验发现应力-应变全曲线的上升段几乎相同,强度越大,下降段下降得越快,与普通混凝土应力-应变全曲线特点相同;张龙生[8]对铁尾矿砂混凝土梁进行了弯曲试验,发现铁尾矿砂混凝土梁的应力-应变特性与普通混凝土梁基本相同,不同点在于铁尾矿砂混凝土梁纵向受力钢筋的应变比普通混凝土梁略大;王光琦[9]通过对铁尾矿砂钢筋混凝土梁的荷载-挠度曲线进行分析,发现同等强度的铁尾矿砂钢筋混凝土梁与普通钢筋混凝土梁的开裂、屈服、极限荷载大致相同.同时,许多国外学者和工程人员对混凝土单轴受压应力-应变全曲线也进行了广泛研究[10-14].

但是,目前关于铁尾矿砂混凝土单轴受压应力-应变全曲线的研究,大多集中在对不同强度的混凝土进行试验,没有对不同铁尾矿砂掺量的混凝土进行试验研究.为了分析不同铁尾矿砂掺量对铁尾矿砂混凝土单轴受压应力-应变全曲线的影响,本试验制备了相同强度等级的铁尾矿砂混凝土,铁尾矿砂掺量分别为0、20%、40%、60%、80%,通过棱柱体单轴受压全过程试验,结合现有的理论模型分析了铁尾矿砂混凝土单轴受压应力-应变全曲线受不同铁尾矿砂掺量的影响.

1 试验概况

1.1 原材料

试验采用的铁尾矿砂取自鞍钢集团某尾矿库,属高硅型尾矿砂,细度模数为1.34,属于特细砂.粗骨料采用粒径为25 mm具有连续级配的天然碎石,细骨料所用砂为天然河砂.水泥采用辽宁山水工源水泥有限公司生产的PO42.5普通硅酸盐水泥.粉煤灰采用阜新市某粉煤灰厂生产的Ⅰ级粉煤灰.减水剂为高效减水剂.

1.2 方案设计

铁尾矿砂混凝土设计强度为C35,单轴受压应力-应变全曲线试验分为5组,具体配合比如表1所示.混凝土试件尺寸为150 mm×150 mm×300 mm,每种配合比取6块,总数量为30块,在标准条件下养护28 d,提前一天取出晒干后再进行试验.

表1 应力-应变全曲线试验试件配合比
Tab.1 Mix proportion of specimens for stress-strain full curve tests

编号水(kg·m-3)水泥(kg·m-3)粉煤灰(kg·m-3)石子(kg·m-3)中砂(kg·m-3)铁尾矿砂(kg·m-3)减水剂mL11653001001170630 0102165300100117050412610316530010011703782521041653001001170252378105165300100117012650410

1.3 试验过程

采用300 t的MTS电液伺服试验机,加载装置的总刚度满足大于下降段最大负刚度的要求,为了测出试件受压曲线的全过程,试验首先采用力控制的方式加载,加载速率为0.5 kN/s,当施加的荷载达到约极限荷载的50%时,改用位移控制的方式继续加载,调整加载速率为0.03 mm/min.所有试件均加载至残余强度阶段,利用压力机的微机控制系统,通过IMC数据采集系统采集数据,得到的数据经过处理后,可通过Origin Pro软件生成试件的应力-应变曲线.

轴心抗压试验按照《普通混凝土力学性能试验方法标准》(GB/T50081-2002)对试件进行测试,试验数据计算公式为

(1)

式中:fcp为混凝土轴心抗压强度;F为试件破坏荷载;A为试件承压面积.

2 试验结果及分析

2.1 破坏过程与形态

图1为铁尾矿砂混凝土的破坏形态.试件表面的第一条可见裂缝是在荷载达到极限荷载之后,应力-应变全曲线刚刚进入下降段时形成的,裂缝方向垂直于地面,位于混凝土浇注位置侧面的中心位置.连续加载时,由于裂缝的发展,混凝土粗骨料和水泥砂浆之间的粘结作用被破坏,混凝土的抗剪作用被削弱,形成两条新的斜裂缝,一般位于第一条竖向裂缝的左上方与右下方(或右上方与左下方).随着应变的增加,斜裂缝发展迅速,以至三条裂缝连接到一起形成贯通整个界面的主斜裂缝,主斜裂缝与荷载垂线的夹角θ约为30°.从破坏断面上看,铁尾矿砂混凝土和普通混凝土的破坏均为粗骨料和水泥砂浆之间的粘结破坏,未发现有粗骨料断裂,表明铁尾矿砂混凝土的破坏形态与普通混凝土相同.由于试件的唯一性,每个试件的破坏过程都不可能完全相同,试件的局部缺陷会影响裂缝的形成过程,但应力-应变全曲线的总体形状变化不大.

图1 混凝土破坏形态
Fig.1 Failure modes of concrete

2.2 铁尾矿砂混凝土轴心抗压强度

图2为不同铁尾矿砂掺量下的轴心抗压强度.铁尾矿砂混凝土轴心抗压强度低于普通混凝土,铁尾矿砂掺量在0~40%时,随着铁尾矿砂掺量的增加,轴心抗压强度不断下降,40%掺量的铁尾矿砂混凝土轴心抗压强度与普通混凝土相比降低了11.9%,但在40%~80%掺量时,轴心抗压强度先增加后减小,在60%掺量时取得极大值,60%掺量的铁尾矿砂混凝土轴心抗压强度与40%掺量的铁尾矿砂混凝土相比提高了10.7%,与普通混凝土相比降低了2.5%,是所有掺量条件下与普通混凝土相差最小的,而80%掺量的铁尾矿砂混凝土轴心抗压强度与普通混凝土相比降低了7.2%.这是因为铁尾矿砂颗粒粗糙、多棱角、内摩擦力较大,掺入少量铁尾矿砂时起主要作用的细骨料是普通砂,铁尾矿砂与普通砂之间的摩擦力较差,所以轴心抗压强度下降.而当铁尾矿砂掺量超过40%时,起主要作用的为铁尾矿砂,砂粒之间的摩擦力随着铁尾矿砂掺量的增加而有一定好转.但当铁尾矿砂掺量超过80%以后,起作用的细骨料几乎完全是铁尾矿砂,又因为铁尾矿砂的细度模数小于普通砂,导致铁尾矿砂混凝土的粘聚性低于普通混凝土,所以铁尾矿砂混凝土轴心抗压强度低于普通混凝土.

图2 不同铁尾矿砂掺量下的轴心抗压强度
Fig.2 Axial compressive strength under different iron tailing sand contents

2.3 铁尾矿砂混凝土应力-应变全曲线

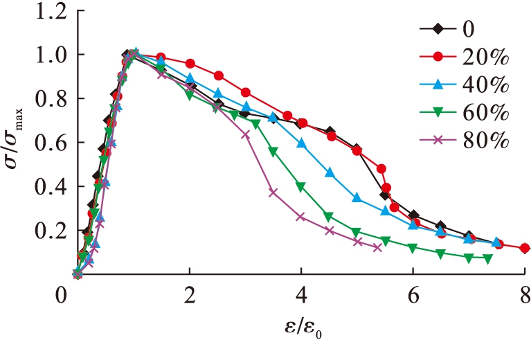
为了方便对应力-应变全曲线进行分析,本试验应力-应变全曲线采用无量纲坐标表示,通过Origin Pro软件得出铁尾矿砂混凝土单轴受压应力-应变全曲线,如图3所示.图3中,横纵坐标含义参见规范《混凝土结构设计规范》(GB50010-2010).

图3 混凝土单轴受压应力-应变全曲线
Fig.3 Uniaxial compressive stress-strain full curve of concrete

2.4 不同铁尾矿砂掺量对单轴受压应力-应变全曲线的影响

本试验中,1号混凝土为不掺铁尾矿砂的普通混凝土,2号混凝土的铁尾矿砂掺量为20%,3号混凝土的铁尾矿砂掺量为40%,4号混凝土的铁尾矿砂掺量为60%,5号混凝土的铁尾矿砂掺量为80%,对比曲线如图4所示.由图4可知,在掺入少量铁尾矿砂时,铁尾矿砂混凝土单轴受压应力-应变全曲线与普通混凝土相差不大,掺入少量铁尾矿砂的混凝土下降段前期强度降低较慢,下降段后期与普通混凝土几近相同,曲线与坐标轴围成的面积也与普通混凝土相近;在掺入大量铁尾矿砂时,混凝土前期破坏与普通混凝土相似,但在下降段后期混凝土破坏迅速,很快达到平稳状态,同时随着铁尾矿砂掺量的增加,曲线与坐标轴围成的面积逐渐减小,说明随着铁尾矿砂掺量的增加,混凝土刚度下降,抵抗弹性变形能力减弱,脆性增强.

图4 不同铁尾矿砂掺量下的应力-应变全曲线
Fig.4 Stress-strain full curves under different iron tailing sand contents

3 理论模型

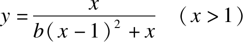
目前,参数较少、意义明确、与试验结果符合较好的应力-应变方程采用规范《混凝土结构设计规范》(GB50010-2010)里的方程,即

y=ax+(3-2a)x2+(a-2)x3 (0≤x≤1)

(2)

(3)

式中:x=ε/ε0ε为任一点的应变,ε0为峰值应变;y=σ/σmaxσ为任一点的应力,σmax为峰值应力;ab为与混凝土强度相关的经验系数,a为初始段弹性模量与峰值割线模量的比值,b为反映混凝土脆性的参数,其值越大混凝土脆性越强.通过改变ab两个参数的值可以得到不同混凝土应力-应变全曲线.ab两个参数的值可以分别利用式(2)~(3),根据试验所得曲线数据,用最小二乘法计算求出.计算结果如表2所示.

表2 不同铁尾矿砂掺量下的ab
Tab.2 a and b values under different iron tailing sand contents

经验系数020%40%60%80%a0.60.50.40.3-0.7b0.250.20.30.4 0.5

理论曲线与实际单轴受压应力-应变全曲线对比如图5所示.

图5 理论曲线与实际曲线的对比
Fig.5 Comparison between theoretical and practical curves

经过拟合分析,得出在不同铁尾矿砂掺量下的混凝土参数ab值,同时发现a值随铁尾矿砂掺量的增加而减小,说明混凝土随着铁尾矿砂掺量的增加,弹性模量降低,弹性随之降低;b值随铁尾矿砂掺量的增加而增加,说明混凝土随着铁尾矿砂掺量的增加,脆性随之增加.

由图5可以看出,铁尾矿砂混凝土的应力-应变全曲线和理论曲线在上升段和下降段前期(出现主斜裂缝之前)吻合良好,在下降段后期(出现主斜裂缝之后)离散性较大.对此进行分析,铁尾矿砂混凝土应力-应变全曲线的下降段与试件内部微裂纹发展密切相关,如初始微裂缝、气泡、粗骨料的排列和骨料与水泥砂浆的粘结性状等因素都影响微裂纹的发展过程.此外混凝土棱柱体受压试件的主斜裂缝和宏观主斜破坏面,都是在试件达到峰值荷载之后再加载一段时间才出现的,只对试件的残余强度和后期变形产生影响,属于试件的后期破坏形态,只影响应力-应变全曲线的下降段后期,对上升段曲线几乎没有影响.而铁尾矿砂混凝土因为骨料和水泥砂浆之间的粘结能力不如普通混凝土,致使其在下降段承载能力降低加快.

同时,对于混凝土结构,后期裂缝贯通,内部结构基本已无法继续承载,故此阶段并不影响结构的承载能力,说明《混凝土结构设计规范》里的模型仍然适用于本试验的铁尾矿砂混凝土,只是在本构参数的取值上有所不同.

4 结 论

本文通过分析得出以下结论:

1)铁尾矿砂混凝土的破坏形态与普通混凝土相似,轴心抗压强度低于普通混凝土,当铁尾矿砂掺量为60%时最为合理,强度仅损失2.5%,同时解决了铁尾矿砂的危害,可以取得最大经济效益;

2)铁尾矿砂混凝土应力-应变全曲线的下降段应力台阶随铁尾矿砂掺量的增加而逐渐缩短,说明随着铁尾矿砂掺量的增加,混凝土刚度下降,抵抗弹性变形能力减弱,当铁尾矿砂掺量为80%时刚度最小;

3)拟合曲线中a值随铁尾矿砂掺量的增加而减小,b值随铁尾矿砂掺量的增加而增加,说明混凝土随着铁尾矿砂掺量的增加,弹性模量降低,弹性随之降低,同时脆性增加.

参考文献(References):

[1]宁宝宽,刘伟.特细铁尾矿砂综合利用研究 [M].北京:化学工业出版社,2016.

(NING Bao-kuan,LIU Wei.Study on the comprehensive utilization of ultrafine iron tailings [M].Beijing:Chemical Industry Press,2016.)

[2]李涛,党斌.不同取代类型铁尾矿混凝土抗压性能试验研究 [J].河北工业科技,2016,33(3):240-245.

(LI Tao,DANG Bin.Experimental study on compressive properties of iron tailings concrete with different substitution types [J].Hebei Industrial Technology,2016,33(3):240-245.)

[3]黄杰,孟晋,陈四利,等.尾矿砂塑性混凝土的力学特性 [J].沈阳工业大学学报,2015,37(2):225-230.

(HUANG Jie,MENG Jin,CHEN Si-li,et al.Mecha-nical properties of plastic concrete from tailings [J].Journal of Shenyang University of Technology,2015,37(2):225-230.)

[4]魏建利,冯拴.铁尾矿混凝土研究进展与展望 [J].墙材革新与建筑节能,2016(8):64-67.

(WEI Jian-li,FENG Shuan.Research progress and prospect of iron tailings concrete [J].Wall Materials Innovation and Energy Saving in Buildings,2016(8):64-67.)

[5]王光琦,康洪震,韩建强.铁尾矿砂混凝土强度与配制 [J].河北联合大学学报(自然科学版),2015,37(2):106-110.

(WANG Guang-qi,KANG Hong-zhen,HAN Jian-qiang.Strength of concrete with iron tailings and its prepation [J].Journal of Hebei Union University (Natural Science Edition),2015,37(2):106-110.)

[6]康洪震,张凯,马卫华,等.铁尾矿砂混凝土轴心受压应力-应变全曲线试验研究 [J].建筑结构学报,2015,36(增刊2):373-378.

(KANG Hong-zhen,ZHANG Kai,MA Wei-hua,et al.Experimental study on compressive stress-strain curves of ferrous tailings concrete [J].Journal of Building Structures,2015,36(Sup2):373-378.)

[7]王冬卫.铁尾矿砂混凝土的结构力学性能研究 [D].唐山:河北联合大学,2013.

(WANG Dong-wei.Study on structural mechanical properties of iron tailings concrete [D].Tangshan:Hebei Union University,2013.)

[8]张龙生.铁尾矿砂混凝土简支梁抗弯刚度和裂缝试验研究 [D].成都:西南交通大学,2015.

(ZHANG Long-sheng.Experimental study on bending stiffness and crack of sand concrete simply supported beam with iron tailings [D].Chengdu:Southwest Jiaotong University,2015.)

[9]王光琦.铁尾矿砂钢筋混凝土梁抗弯性能试验研究 [D].唐山:华北理工大学,2015.

(WANG Guang-qi.Experimental study on bending behavior of reinforced concrete beams with iron tailings [D].Tangshan:North China University of Science and Technology,2015.)

[10] Liu Y A,Wang W J,Chen Y F,et al.Residual stress-strain relationship for thermal insulation concrete with recycled aggregate after high temperature exposure [J].Construction and Building Materials,2016,129:37-47.

[11] Sharma U K,Zaidi K A,Bhandari N M.Residual compressive stress-strain relationship for concrete subjected to elevated temperatures [J].Journal of Structural Fire Engineering,2012,3(4):327-350.

[12] Knaack A M,Kurama Y C,Kirkner D J.Compressive stress-strain relationships for north american concrete under elevated temperatures [J].ACI Materials Journal,2011,108(3):270-280.

[13] 黄志强,徐向新,杨光,等.尾矿砂聚合物钢纤维混凝土的基本力学性能 [J].沈阳工业大学学报,2018,40(6):697-701.

(HUANG Zhi-qiang,XU Xiang-xin,YANG Guang,et al.Basic mechanical properties of tailing sand polymer steel fiber reinforced concrete [J].Journal of Shenyang University of Technology,2018,40(6):697-701.)

[14] 徐永泽.高掺量铁尾矿砂混凝土的制备及力学性能研究 [D].沈阳:沈阳工业大学,2019.

(XU Yong-ze.Preparation and mechanical properties of high volume iron tailings sand concrete [D].Shenyang:Shenyang University of Technology,2019.)

Stress-strain full curve characteristics of iron tailing sand concrete

NING Bao-kuan,XU Yong-ze,CUI Kun,WANG Ning

(School of Architecture and Civil Engineering,Shenyang University of Technology,Shenyang 110870,China)

AbstractAiming at the influence of different iron tailing sand contents on the stress-strain full curve of concrete,the uniaxial compressive stress-strain full curve tests for five sets of prismatic specimens with different iron tailing sand contents were performed.The results show that the failure mode of iron tailing sand concrete is basically the same as that of ordinary concrete.The axial compressive strength of iron tailing sand concrete is lower than that of ordinary concrete.When the iron tailing sand content is 60%,the axial compressive strength has the smallest difference with that of ordinary concrete.With the increase of iron tailing sand content,the concrete stiffness decreases,the resistance to elastic deformation is weakened,and the brittleness is enhanced.The stress-strain full curve of iron tailing sand concrete can be divided into the ascending and the descending sections,and the stress-strain full curve equation expression is proposed through the fitting of relevant parameters.The fitting results are in good agreement with the experimental data.

Key wordsiron tailing sand concrete;iron tailing sand content;axial compressive test;compressive strength;failure mode;uniaxial compression stress-strain full curve;fitting curve;stress-strain full curve equation

中图分类号:TU 502

文献标志码:A

文章编号:1000-1646(2021)05-0573-06

收稿日期2018-09-17.

基金项目辽宁省教育厅基金项目(LFGD2017010).

作者简介宁宝宽(1971-),男,辽宁抚顺人,教授,博士,主要从事结构和岩土工程等方面的研究.

*本文已于2021-09-06 12∶24在中国知网优先数字出版.网络出版地址:http:∥kns.cnki.net/kcms/detail/21.1189.T.20210903.1636.018.html

doi:10.7688/j.issn.1000-1646.2021.05.16

(责任编辑:钟 媛 英文审校:尹淑英)