变电站接地阻抗降阻措施评估方法

李冠华1a, 徐 凯1b, 董雪晴2, 荆澜涛2, 王 亮2, 宋 伟3, 崔巨勇1a

(1. 国网辽宁省电力有限公司 a. 电力科学研究院, b. 设备部, 沈阳 110006; 2. 沈阳工程学院 电力学院, 沈阳 110136; 3. 清华大学 机电系, 北京 100084)

摘 要: 针对高土壤电阻率地区变电站接地阻抗难以达标以及雷电冲击导致的变电站二次系统受到暂态干扰等问题,以某220 kV典型变电站为例,现场测试了土壤分层数据、接地网接地阻抗和暂态地电位差分布状况,对其接地网工频和冲击特性多个维度开展了安全评估分析.通过进一步搭建接地网仿真模型,开展仿真计算,得出了初步降阻改造方案.研究结果表明,针对高土壤电阻率地区变电站接地网要通过多个维度去评估其地网安全性,不能盲目追求降低接地阻抗这一单一指标,要通过综合降阻措施使其满足安全设计要求.

关 键 词: 变电站; 接地阻抗; 冲击特性; 降阻措施; 暂态地电位; 冲击电流; 雷击

电力系统运行过程中,接地系统是维护变电站安全可靠运行、保障运行人员和电气设备安全的根本保证和重要措施[1].调查表明,我国曾发生多起由于接地系统接地阻抗未达到要求所导致的事故或事故的扩大[2].同时根据电网故障分类统计表明,在我国跳闸率比较高的地区,由雷击引起的次数约占40%~70%,尤其是在多雷、土壤电阻率高、地形复杂的地区,雷击引起的事故率更高.特别是电力系统操作以及雷电等通过各种途径在发变电站产生的暂态干扰会通过各种耦合方式在二次系统内产生相应的干扰电压,如不采取过电压防护措施,在暂态干扰下会影响二次设备的稳定与安全,进而影响电力系统的安全可靠运行[3].

针对电力系统在实际运行过程中存在的接地阻抗值在高电阻率地区难以达标以及雷电冲击导致的变电站二次系统受到暂态干扰等问题,往往需要开展降阻方案评估分析.而以往对于高阻抗变电站接地网改造措施的评估往往只考虑了接地阻抗这一单一指标,盲目追求降低接地阻抗[4],而忽视了其冲击暂态过程造成的网内电位差问题,并缺少网内电位差的现场实际测量评估方面的研究[5].对于一次电力设备,其耐压较高,地电位差对其影响有限,但二次系统设备及电缆由于耐压能力较弱,当网内电位差较大时是需要重点分析评估的对象.

因此本文以某220 kV典型高电阻率地区变电站为例,以变电站所处区域土壤电阻率为切入点,开展接地系统工频特性及其冲击暂态特性,即二次接地网检测评估测试[6],从多个维度对变电站接地系统的接地阻抗和各安全限值进行测试和分析,并通过进一步搭建接地网仿真模型开展仿真计算,完成接地网的全面状态评估,并给出了综合改造方案.

1 变电站土壤电阻率测试

该220 kV新建变电站场地地面标高为179.44~181.96 m,地貌为两山夹一沟,位于山间谷地.采用土壤电阻率测量设备则利用温纳四极法,对灌水站内、站外共14个位置进行了土壤电阻率的测量.站内测试位置主要针对表层土壤电阻率,测试电极间距依次为0.1、0.2、0.3、0.5、0.7及1 m共6个位置,逐一测取土壤电阻率数据;站外测试位置距离变电站直线距离约300 m,测试电极间距依次为5、10、20、30、50、100、200及300 m共8个位置,测试结果如表1所示.

由于实际测得的土壤电阻率数据分布不均匀(极间距为1、20、100 m的数据),无法直接应用这些数据来拟合建立土壤模型.因此需要利用CDEGS仿真软件进行反演,得出土壤电阻率的实测数据及站址区域的土壤分层结构,如表2所示.

从数据结果可以看出,站址区域整体土壤结构表层土壤电阻率低,深层土壤电阻率很高,故障电流不易从深层土壤入地散流,因此采取传统增设深井接地极或者增加垂直接地极的方法都很难有效降低该站的接地阻抗,更适合采用扩网外引的方式降阻.

表1 土壤电阻测试点实测数据
Tab.1 Measured data of soil resistance at test points

极间距离m视在电阻Ω视在电阻率(Ω·m)测试位置 0.1198.300124.5956站内0.2148.100186.1079站内0.3128.000241.2743站内0.554.100169.9602站内0.733.430147.0328站内1.033.520210.6124站内5.07.970250.3849站外10.04.176262.3858站外20.03.373423.8637站外30.03.491658.0380站外50.03.4761092.0180站外100.03.9352472.4330站外200.03.0593844.0530站外300.01.6133040.4330站外

表2 土壤电阻率及分层结构
Tab.2 Soil resistivity and stratification structures

分层序号土层电阻率/(Ω·m)土层厚度/m顶层141.140.362层191.355.083层420.1211.30底层4615.39∞

2 变电站接地网工频特性分析

2.1 接地阻抗测量

接地阻抗采用反向法,变电站场区对角线长度为270 m,电流线位置dCG向变电站外放置约1 200 m,电压线位置dPG向变电站外放置1 000 m,与电流线呈169°角.由于采用远离法,根据《接地装置特性参数测试导则》(DL/T475-2017)有关公式计算[7],接地阻抗可修正为

(1)

式中:D为被试接地装置最大对角线长度;θ为电流线和电位线的夹角;Z′为接地阻抗的测试值.

现场电流分别注入3.2 A,45 Hz和3.2 A,55 Hz,测试值Z′通过公式校验得出接地阻抗值为4.3 Ω,可以看出该站为典型高接地阻抗变电站,接地阻抗远超国标要求和其他普通变电站.

2.2 变电站分流系数计算

根据工程设计方提供的参数,线路杆塔接地阻抗皆取15 Ω进行仿真计算[8],得出了该站在不同变电站接地阻抗情况下的短路电流分布和地网分流系数,并根据短路电流计算结果,将变压器220 kV侧短路电流取20.67 kA来分析实际最大入地电流和地电位升随接地阻抗的变化,结果如表3所示.

表3 不同接地阻抗对应的分流系数、最大入地电流及地电位升

Tab.3 Shunt coefficient,maximum ground current and ground potential rise under different grounding resistances

接地阻抗Ω分流系数%最大入地电流kA地电位升kV4.046.69.6338.533.052.010.7732.312.555.111.3928.472.356.311.5826.622.058.512.0924.181.859.812.3622.251.562.412.9019.351.066.313.7013.700.570.114.497.24

2.3 地网特性参数限值分析

2.3.1 地电位升限值分析

结合该220 kV变电站的情况,对于二次设备,由于全部位于站内,其并不承受地电位升,因此其并不影响地电位升的取值.由于该220 kV变电站内高、中压设备耐压值较高,地电位升远小于其运行电压,包括考虑暂态下的电压,因此变电站高、中压设备基本不受地电位升影响.而该220 kV变电站站外接66 kV系统,它们在一次设备中受地电位升影响最大,根据国家电网有限公司通用设计手册[9],66 kV系统避雷器额定电压为96 kV,持续运行电压为75 kV.考虑到相位差,短路故障时避雷器能够承受的最大地电位升为其额定电压与线路对地电压之差,约为52.7 kV.考虑一定的裕度,根据计算得出变电站分流系数和地电位升计算结果,该220 kV变电站在不连接出线线路地线时的接地阻抗不应大于3.5 Ω,当变电站地网与出线线路地线互联分流后接地阻抗不应大于2.3 Ω.

2.3.2 跨步电位差与接触电位差限值

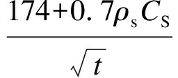
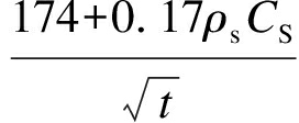
采用地表高阻层来提高人体可以耐受的接触电位差和跨步电位差,从而达到提高发变电站安全的目的.跨步电位差和接触电位差允许值计算表达式[10]分别为

(2)

(3)

式中:US为跨步电位差允许值;UT为接触电位差允许值;ρs为地表层的电阻率;CS为表层衰减系数;t为接地故障电流持续时间[11].

由于在接地体附近可能回填了导电性良好的细土,因此不铺设高阻层时,需保守考虑人身安全,表层土壤电阻率取为50 Ω·m;当铺设高阻层时,该220 kV变电站表层土壤仍为原有土壤,电阻率平均取为1 485.28 Ω·m.按切除时间0.5 s计算,铺设高阻层时电阻率为3 000 m,计算得到的不同表层土壤措施下该变电站的接触电位差和跨步电位差的允许值如表4所示.

表4 接触电位差和跨步电位差允许值
Tab.4 Allowable value of contact potential and step potential differences V

表层土壤措施跨步电位差允许值接触电位差允许值无高阻层295.60258.10铺设10cm高阻层2337.61754.02铺设20cm高阻层2696.10841.08

2.4 变电站接地网仿真模型搭建

该220 kV变电站水平接地网为矩形,接地网面积为250 m×100 m,内部设置10 m间距均压网格.

经计算地网未采取额外的降阻措施时,该220 kV变电站接地阻抗值为4.16 Ω,与现场实测4.3 Ω基本一致,但超出计算分析得出的接地阻抗限值,因此主地网需采取一定的降阻措施.

由地网入地分流系数可知,此时最大入地短路电流约为9.5 kA,跨步电位差最大值为547.26 V,高电位差都分布在变电站地网边缘,变电站跨步电位差分布如图1所示;接触电压最大值为874.12 V,变电站接触电位差分布如图2所示.

图1 变电站地网跨步电位差分布图
Fig.1 Distribution diagram of step potential difference substation ground grid

图2 变电站地网接触电位差分布图
Fig.2 Distribution diagram of contact potential difference of substation ground grid

由图1、2可见,跨步电位差和接触电位差都超出了无高阻层时的允许值.若考虑铺设高阻层则跨步电压可以满足允许值要求,但是接触电压与铺设高阻层时的允许值相接近,留有安全裕度较小,考虑季节系数和冻土情况,应在原地网结构上采取一定的均压措施使得接触电压安全裕度增大符合设计要求.

2.5 接地系统降阻方法研究

在前文对土壤电阻率和变电站各安全限值的分析基础上,通过多次建模对比计算,并综合考虑变电站所在区域的土壤电阻率及该变电站220 kV侧的2条地线线路、66 kV侧的4条地线线路,因此采用引外接地和杆塔地线连接的方法实施综合措施降阻.在施工项目部临建区域地块开展扩网,再将6条杆塔线路地线全部连接于变电站扩网后的地网上,并在站内铺设10 cm厚的高阻层.该综合措施接地阻抗可降低到1.49 Ω,接触电压最大值为620.8 V,跨步电压最大值为141.9 V,均可满足在铺设高阻层后的限值设计要求.

3 变电站接地网冲击特性分析

3.1 接地网暂态冲击特性测试

由于变电站容易遭受雷击骚扰的位置往往为变电站边缘避雷针等位置,本次试验在采取综合降阻措施的基础上,利用清华大学先进电能传输实验室提出的接地网暂态地电位差试验方法进行接地网暂态地电位差试验.注流点为接地网边缘龙门架架构接地引下线,回流点为站外距离接地网边缘约700 m处.测试点均为站内关键设备位置,如端子箱、操作机构等共14个位置.测量点分布如图3所示,共有3个测量方向,可以代表注流点附近的暂态地电位差分布状况.注流点附近地电位差分布峰值结果如表5所示.

图3 变电站暂态冲击测试测点布置图
Fig.3 Arrangement diagram transient impact test points in substation

表5 注流点附近地电位差分布峰值
Tab.5 Peak value distribution of ground potential difference near injection point

测量点电流/A电位差/V1-143-290.631-243-874.441-343-320.081-443-158.851-543-345.121-643-201.321-743-393.912-143-328.912-243-818.342-343-121.793-143-403.523-243-328.933-343-434.033-443-231.14

计算结果表明,暂态冲击电流注入接地网时,网内暂态电位差在注流点附近迅速上升,而随着距离的增加趋于平缓.当注入的冲击电流峰值为43 A时,网内暂态地电位差最大值近900 V.由此推断:当变电站接地网注入的雷电冲击电流达到100 kA以上时,站内二次设备所承受的暂态过电压将远远超过其耐压限值,二次系统受到电磁干扰损毁及发生误动作的风险较大,应在降阻方案实施后进一步针对二次系统采取一定的防御措施.

可见,在高电阻率地区变电站除了需要强调接地阻抗、跨步电压和接触电压等常规限值指标外,为了顺应电力系统智能化、信息化的发展需求,还应当重视网内电位差对站内二次系统的影响.

3.2 接地网暂态冲击特性仿真计算

结合清华大学先进电能传输实验室自主开发的二次设备端口仿真软件,计算灌水站内接地网暂态地电位分布以及二次设备端口的抗扰特性[11].仿真计算模拟遭受雷击时的情况,采用冲击电流为8/20 μs典型冲击电流波形,电流峰值为100 kA.注入点、回流点以及测量点与实际情况相同.仿真结果如图4所示.

图4 二次电缆端口冲击电位差仿真计算波形图
Fig.4 Simulation waveform of impact potential difference at secondary cable port

从仿真结果可以看出,地网注入冲击电流时,二次电缆峰值电位差已经达到了1 680 V.这是由于在电流注入点附近导体轴向电流较大,下降梯度较大,沿导体径向向土壤中散流较多,导致电位较高,梯度较大,远离电流注入点的导体情况则相反.因为高频时,导体电感分量较大,导致整体地网有效长度变短,因此只有电流注入点附近区域起到了地网均压的作用.

由于二次系统全部位于站内,因此雷击时接地系统对二次系统的影响仍然通过接地网的地电位差作用,而与地电位升无关.由于雷电流频率很高,雷击下接地网上的电流主要通过电流流入点附近的接地体散流,暂态地电位差将非常大,而大范围的降阻措施对降低雷电流的影响效果非常有限.

因此除了采取变电站接地网两次扩网并连接杆塔地线的综合降阻措施外,仍需要利用均匀接地网的暂态地电位差来消除暂态冲击电流对二次系统的影响[12].

3.3 降低二次电缆沿线地电位差措施仿真计算

为了降低二次电缆沿线地电位差,可以在二次电缆所在路径内沿线铺设铜排.通过仿真软件在原地网模型电缆路径基础上增加铺设一根截面积为100 mm2的接地铜排,并将此铜排在模型中的截面积加粗至200、400、600 mm2,采取同样的计算条件开展冲击仿真,计算得出通过电缆沟铺设至主控楼控制室的电缆两端测点的冲击电位差如表6所示.

表6 铺设不同截面积铜排对电位差的影响
Tab.6 Influence of laying copper bars with different sectional areas on potential difference

铜排截面积/mm2电位差/V1001102200968400874600796

从表6计算结果可以看出,在采用截面积200 mm2的铜排时,电位差降低到了968 V,降低了42%,满足了常规设计1 000 V的限值要求[13].同时可以看出,虽然铜排截面积增大时电位差在减小,但由于铜排外感抗较大,造成了不断加粗单根铜排后电位差的饱和倾向,因此本次方案采用截面积为200 mm2铜排即可[14].

通过对二次接地网仿真计算分析表明:在二次电缆的路径内沿线增设铜排以加强二次电缆两端的接地连接,并加密雷击避雷针处接地体的方案可有效降低雷电冲击或单向对地短路故障暂态高频阶段时的电位差值,从而消除可能存在的对二次设备的潜在风险.

4 结 论

本文针对高电阻率地区雷电冲击导致的变电站二次系统受到暂态干扰等问题,以某220 kV典型变电站为例,开展了现场测试和仿真计算,主要结论如下:

1) 高电阻率地区变电站需开展多个维度的安全评估分析,不仅需要满足接地阻抗的限值要求,还需要开展对其二次系统影响的校验.

2) 通过在站内开展接地网暂态地电位差试验,可以有效评估二次系统受到电磁干扰及发生误动作的风险.

3) 在电缆沟内增设铜排,局部加密雷击注入点位置接地网的方法能够有效降低二次电缆端口冲击暂态电位差.

不同变电站模型参数和仿真计算结果可能不同,但本文分析评估和测试方法同样适用于高电阻率地区变电站.主要结论可为接地网设计和降阻优化改造提供参考.

参考文献(References):

[1]苏磊,王丰华,王劭菁,等.基于试验分析的变电站接地网冲击特性研究 [J].高压电器,2016,52(9):98-102.

(SU Lei,WANG Feng-hua,WANG Shao-jing,et al.Experimental analysis on inpulse characteristics of substation grounding grid [J].High Voltage Apparatus,2016,52(9):98-102.)

[2]吴昊,吴广宁,罗勋,等.输电线路杆塔及接地体雷电冲击响应分析 [J].高压电器,2015,51(5):19-25.

(WU Hao,WU Guang-ning,LUO Xun,et al.Lightning impulse response analysis of transmission line tower and grounding body [J].High Voltage Apparatus,2015,51(5):19-25.)

[3]田松,鲁海亮,文习山,等.安全性分析在变电站接地网设计中的应用 [J].高压电器,2014,50(7):44-50.

(TIAN Song,LU Hai-liang,WEN Xi-shan,et al.Se-curity analysis in the design of the substation grounding grid [J].High Voltage Apparatus,2014,50(7):44-50.)

[4]高峰,刘阳,郭洁,等.单根伸长接地体的冲击特性与仿真模型的研究 [J].高压电器,2020,56(4):148-152.

(GAO Feng,LIU Yang,GUO Jie,et al.Study on impact characteristics and simulation model of single extended grounding body [J].High Voltage Apparatus,2020,56(4):148-152.)

[5]端木林楠,赵习静,蔡巍,等.变电站地网接地阻抗测量中互感消除方法研究 [J].高压电器,2015,51(11):140-145.

(DUANMU Lin-nan,ZHAO Xi-jing,CAI Wei,et al.Research on the method of eliminating the mutual-inductance in grounding impedance measurement [J].High Voltage Apparatus,2015,51(11):140-145.)

[6]庄池杰,曾嵘,张波,等.高土壤电阻率地区变电站接地网设计思路 [J].高电压技术,2008,34(5):893-897.

(ZHUANG Chi-jie,ZENG Rong,ZHANG Bo,et al.Grounding system design method in high soil resistivity regions [J].High Voltage Engineering,2008,34(5):893-897.)

[7]李谦.电力系统接地网特性参数测量与应用 [M].北京:中国电力出版社,2013.

(LI Qian.Measurement and application of characteristic parameters of power system grounding network [M].Beijing:China Electric Power Press,2013.)

[8]张波,何金良,曾嵘.电力系统接地技术现状及展望 [J].高电压技术,2015,41(8):2569-2582.

(ZHANG Bo,HE Jin-liang,ZENG Rong.State of art and prospect of grounding technology in power system [J].High Voltage Engineering,2015,41(8):2569-2582.)

[9]李谦.发电厂和变电站接地网安全性状态评估 [M].北京:中国电力出版社,2013.

(LI Qian.Safety status assessment of power plant and substation grounding network [M].Beijing:China Electric Power Press,2013.)

[10]谭波,杨建军,文习山,等.高土壤电阻率地区大型水电站接地系统设计 [J].高电压技术,2011,37(10):2485-2490.

(TAN Bo,YANG Jian-jun,WEN Xi-shan,et al.Design of grounding system for large hydropower station in high soil resistivity area [J].High Voltage Engineering,2011,37(10):2485-2490.)

[11]陈伟,孙勇,项鹏飞,等.基于深井爆破接地技术的换流站接地网降阻技术研究 [J].陕西电力,2017,45(5):88-92.

(CHEN Wei,SUN Yong,XIANG Peng-fei,et al.Study on ground resistance reduction test for converter station based on deep well blasting [J].Shaanxi Electric Power,2017,45(5):88-92.)

[12]谭波,杨建军,鲁海亮,等.接地网电位升对10 kV 避雷器的反击仿真分析 [J].高电压技术,2013,39(5):1265-1272.

(TAN Bo,YANG Jian-jun,LU Hai-liang,et al.Back flash simulation analysis of ground potential rise on 10 kV arrester [J].High Voltage Engineering,2013,39(5):1265-1272.)

[13]左鹏,魏冲,邹军,等.不等间距布置导体的接地网优化设计 [J].高电压技术,2011,37(9):2315-2320.

(ZUO Peng,WEI Chong,ZOU Jun,et al.Optimal design of grounding grid in which conductor unequally spaced [J].High Voltage Engineering,2011,37(9):2315-2320.)

[14]蒙泳昌,张波,王森,等.利用地网自身回流的大型接地网冲击接地电阻测试方法 [J].电网技术,2018,42(10):3444-3450.

(MENG Yong-chang,ZHANG Bo,WANG Sen,et al.Test method of impulse resistance of large grounding grids using grounding grids itself for current return [J].Power System Technology,2018,42(10):3444-3450.)

Assessment method of grounding impedance and resistance reduction in substation

LI Guan-hua1a, XU Kai1b, DONG Xue-qing2, JING Lan-tao2, WANG Liang2, SONG Wei3, CUI Ju-yong1a

(1a. Electric Power Research Institute, 1b. Equipment Department, State Grid Liaoning Electric Power Co.Ltd., Shenyang 110006, China; 2. School of Electric Power, Shenyang Institute of Engineering, Shenyang 110136, China; 3. Department of Engineering, Tsinghua University, Beijing 100084, China)

Abstract Aiming at the problems that the grounding impedance of substation cannot reach required standards in high earth-resistivity area and the transient disturbance caused by lightning stroke in the substation secondary system, the spot tests of soil stratification data, grounding grid impedance and transient ground potential distribution were performed by taking a typical 220 kV substation as example. The power frequency and impact properties of ground were studied in multiple dimensions for the safety assessment analysis. By the further building of simulation model for grounding network to perform simulating calculation, the preliminary reforming scheme for resistance reduction was obtained. The results show that the safety of substation grounding network in high earth-resistivity area should be evaluated in multiple dimensions, instead of blindly pursuing for the grounding impedance reduction as a single index, and comprehensive measures for resistance reduction should be adopted to meet the requirements by safety design.

Key words substation; grounding impedance; impact property; resistance reduction measure; transient ground potential; impulse current; lightning stroke

收稿日期 2020-12-17.

基金项目 国家重点研发计划项目(2018YFC0809400).

作者简介 李冠华(1983-),男,辽宁沈阳人,高级工程师,硕士,主要从事电力系统接地技术等方面的研究.

doi:10.7688/j.issn.1000-1646.2022.01.03

中图分类号: TM 343

文献标志码: A

文章编号: 1000-1646(2022)01-0014-06

(责任编辑:景 勇 英文审校:尹淑英)