信息科学与工程

基于显著性检测的合成孔径雷达目标检测算法

范 越, 解 锋

(海军工程大学 电子工程学院, 武汉 430033)

摘 要: 针对合成孔径雷达图像边缘、纹理与形状信息丰富,图像尺度大难以处理的问题,提出了一种基于显著性检测的合成孔径雷达目标检测算法.将合成孔径雷达图像表示成超像素,来构建超像素间的关联关系图从而解耦整张图像.同时基于人眼视觉系统对多尺度图像进行非均匀采样的特点,分别提取图像的局部对比度显著性、像素紧凑度显著性和全局唯一性显著性映射,并使用贝叶斯估计得到SAR图像的精确显著性映射,融合三种显著性映射得到最终的显著性图实现目标检测.在各种SAR图像显著性检测实验的定性与定量结果表明,所提方法明显优于现有方法.

关 键 词: 合成孔径雷达图像; 超像素分割; 目标检测; 显著性; 贝叶斯估计; 局部对比度; 全局唯一性; 像素紧凑度

合成孔径雷达(SAR)综合利用脉冲压缩技术和合成孔径技术来获取高分辨率图像[1],其具有强穿透的特点,可以对隐藏在废墟和植被下的目标进行检测侦查[2],因此,SAR成像技术被广泛应用于环境监测、灾害检测、农业调查、建筑测绘、军事目标识别及对地面目标实施打击等民用与军事领域[3-4].

然而随着SAR技术的发展,SAR图像中的边缘信息、纹理信息和形状信息越来越丰富,其大范围成像特点也使得图像中包含的目标类型和场景越来越多[5].而传统的人工处理方法已无法有效、迅速地分析SAR图像中的大量信息,因此,基于图像分割的SAR图像目标检测算法被提出.Dong等[6]提出了一种基于熵的SAR目标检测算法;Yue等[7]提出了一种双参数超像素的SAR目标检测算法.

目前,随着人们对神经解剖学和认知心理学的研究逐渐深入,越来越多基于视觉注意的显著性目标提取算法被提出[8-9].根据观测策略的不同,现有显著性目标检测模型可以分为图模型、频域模型、贝叶斯模型和认知模型[10].其中,图模型先对超像素分割后的图像建立模型,然后使用马尔科夫链来获取最终的显著性图;频域模型使用二维傅里叶变换将输入图像转换为频域数据,在频域提取目标的显著图并逆变换到空间域来获取最终的显著性图[11];贝叶斯模型利用图像的先验统计数据对显著性图进行建模;认知模型先采用高斯金字塔策略来模拟人眼的感受野,再融合图像的亮度、方向和颜色等特征来获取最终的显著性图[12].此外,Coelho等[13]提出了一种基于全局对比度的显著性区域检测方法.Yang等[14]结合视觉机制和深度学习模型,提出了一种多尺度神经网络来提取目标显著性区域.

基于上述分析,本文针对人眼视觉系统对多尺度图像进行非均匀采样的特点,提出了一种基于显著性检测的合成孔径雷达目标检测算法.采用超像素分割算法对SAR图像进行超像素分割,再根据超像素点之间的关联关系,分别提取SAR图像的3种显著性映射,由贝叶斯估计得到SAR图像的精确显著性映射,最后通过融合这些显著性映射而得到显著图.

1 算法整体框架

本文基于人眼视觉系统对多尺度图像进行非均匀采样的特点,把SAR图像分割为不同的超像素.以超像素为单位提取局部对比度显著性、像素紧凑度显著性和全局唯一性显著性映射.通过融合三种像素级别的精确显著性映射得到最终的显著图.该算法整体框架如图1所示.

2 超像素分割

超像素分割是一种图像过分割的方法,其在不破坏图像中物体边界信息的基础上将图像划分为多个图像子区域,即超像素.每个超像素通常由一系列位置相邻,且具有相似亮度、颜色或纹理的像素点组成.超像素分割算法可以分为基于图论的算法(例如Ncut算法、Graph-based算法)及基于梯度下降的算法(例如SLIC算法).其中SLIC算法具有参数少、特征易表示和运行速度快的特点,因此本文使用SLIC算法对SAR图像进行超像素分割,具体步骤为:

图1 算法整体框架
Fig.1 Overall framework of algorithm

1) 按照预定义的超像素数量均匀分配种子点,假设预先在包含M个像素点的图像上建立k个尺度的超像素,则超像素的数量为N=M/k;种子点则以步长均匀分布在图像上.

2) 更新种子点,计算每个种子点3×3领域内的像素点梯度,并将梯度最小的点作为新的种子点,同时将新种子点的3×3领域内的像素点分为同一类.

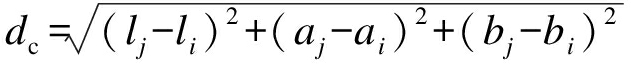
3) 计算种子点与其3×3领域内其他像素点在Lab上的空间距离ds和颜色距离dc,则有

(1)

(2)

(3)

式中:lab为像素点在Lab空间的值;xy为像素点坐标;Nc为最大类内距离,一般取10;对于非种子像素点,将距离最近的种子像素点作为其所属类中心.

4) 重复上述步骤2)和3),直至像素点的中心不再变化.

5) 为了减少孤立像素点的数量,使用连通分量算法将孤立像素点分配给邻近的超像素点.

经过上述步骤即可得到图像的超像素分割结果,图2所示为分别取N=100和200时的分割结果.可以看出,使用SLIC算法得到的分割结果边界线能够较好地贴合目标边缘.

图2 SLIC超像素分割算法示例
Fig.2 Example of SLIC super pixel segmentation algorithm

3 显著性检测与融合

不同于传统的显著性目标检测算法,本文利用超像素作为基本特征提取单位,基于超像素分别提取得到SAR图像的局部对比度显著性、像素紧凑度显著性和全局唯一性显著性映射.

3.1 局部对比度显著性映射

SAR的成像机理使得图像中的目标区域灰度值较小,因此文中利用局部对比度分析检测SAR图像中存在的目标.假设超像素点为sn,可以根据其与领域内超像素点si的直方图相交距离来定义局部对比度LC.

为了加快计算速度,本文使用层级传播的方式来计算snsi的直方图相交距离,即

LC(sn)=(hsn-hsi)2

(4)

(5)

(6)

式中:L(sn)为超像素包含的像素点总和;h为超像素直方图分布.

3.2 像素紧凑度显著性映射

一般SAR图像中的目标在空域上具有紧凑的构型,因此本文使用超像素点的形变损失来定义目标的紧凑度显著性.超像素sn在水平方向上的形变为

(7)

式中:X为像素点的水平坐标;Xh为归一化后的水平坐标;|X|sn=∑LC(x);Mh(sn)为超像素的水平质心.

同理,可以得到超像素sn在垂直方向的形变为

(8)

式中:Y为像素点的垂直坐标;Yv为归一化后的垂直坐标;|Y|sn=∑LC(y);Mv(sn)为超像素的垂直质心.

综上可得SAR图像目标的紧凑度显著性表达式为

AS=1-Cv(sn)-Ch(sn)

(9)

3.3 全局唯一性显著性映射

在大尺度SAR图像中,目标通常是稀疏存在的,本文根据该特点提出了全局唯一性显著性.具体地,对于超像素sn,全局唯一性显著性定义为

(10)

式中:dist()为距离计算函数;NN(sn)为超像素点snk近邻.这里将非目标区域的超像素点作为背景超像素,文中只在背景超像素点中寻找最近邻像素.

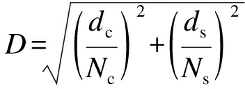
3.4 显著性映射融合

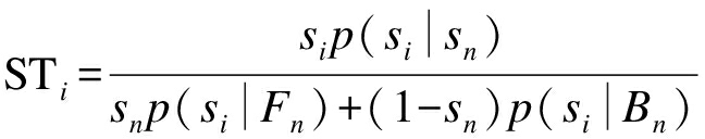
在得到SAR图像的局部对比度显著性、像素紧凑度显著性和全局唯一性显著性映射后,本文使用贝叶斯估计对3种显著性映射进行融合来获取更精细的显著图.将超像素点sn作为先验信息,使用si作为融合后的结果,则融合后的显著图为

(11)

式中:STi为显著性结果;Fn为前景像素点;Bn为背景像素点;p为概率函数.计算二值化STi可以得到最终的显著性映射为

ST=∑STi

(12)

4 仿真与实验结果

为了验证本文所提出方法的有效性,本文采集30张包含不同机场目标的SAR图像,并构建多尺度图像检测数据集进行仿真测试.数据集具体信息如表1所示.同时,本文使用M-Star数据集与MiniSAR数据集图像进行定量和定性分析.

表1 SAR图像检测数据集
Tab.1 SAR image detection data set

拍摄卫星分辨率数量TerraSAR1530×22401高分3号3000×300024RadarSat1510×38002其他750×7403

本文首先比较了不同显著性检测结果,如图3所示,依次为:局部对比度显著性、像素紧凑度显著性、全局唯一性显著性、融合结果.从图3中可以看出,融合后的显著性映射能够明显修正目标区域,在增强目标区域显著性的同时削弱背景像素的干扰.

图3 显著性检测结果
Fig.3 Saliency detection results

图4为文中算法与现有算法进行SAR目标检测的对比结果,依次为输入图像、本文算法结果、文献[12]结果和文献[13]结果.从图4中可以看出,相比于其他算法,本算法在获取更为完整的目标区域的同时能够过滤掉背景噪声,具有较低的虚警结果.本文获取的显著性检测结果中存在部分残缺区域,这是因为场景目标在SAR成像时,每一部分具有不同的散射系数,目标也可能被自身遮挡而无法反射回波,导致成像结果出现阴影,从而使得检测结果出现残缺.图5为SAR图像中存在多个目标时的检测结果,其中最小超像素的尺寸均为35像素.从图5可看出,本文算法能够较好地抑制背景噪声的影响,检测出的目标区域具有更完整的结构与更干净的背景.

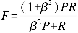
本文也使用加权F值定量比较了所提出算法的性能,其计算方式为

(13)

式中:β为加权系数,一般取1;P为准确率;R为召回率.表2给出了不同算法在各种数据集上的加权F值结果.从表2中可以看出,所提算法在3个数据集上的加权F值均要高于其他算法,表明本文算法能够更精确地检测出SAR图像中的目标,从而减少目标的虚警率.

图4 SAR显著性目标检测结果
Fig.4 SAR salient target detection results

图5 多目标检测结果
Fig.5 Multi-target detection results

表2 加权F值比较结果
Tab.2 Comparison results of weighted F values

数据集文献[12]文献[13]本文算法M-Star0.41860.51700.7857MiniSAR0.16930.52380.5911机场数据集0.21950.16360.5827

考虑到SAR目标检测的实时性需求,本文也比较了不同算法在Matlab平台运行的耗时结果,表3给出了不同算法处理RadarSat数据集(1 510×3 800)图片的平均耗时.从表3中可以看出,在相同运行平台上,本文算法具有最快的计算速度,相比于文献[12]能节省将近90%的计算时间.

5 结 论

本文基于人眼视觉系统对多尺度图像进行非均匀采样的特点,提出了一种基于显著性检测的合成孔径雷达目标检测算法.使用超像素分割算法将SAR图像表示成不同大小的像素点区域构成的集合,从而实现迅速地场景目标划分.通过提取图像的局部对比度显著性、像素紧凑度显著性和全局唯一性显著性映射,来提取超像素特征与挖掘超像素点之间的关联关系.使用贝叶斯估计融合3种显著性图,以得到像素级精度的显著性映射.在3种SAR图像数据集上的显著性检测结果表明,所提出的方法明显优于现有方法,能够更精确地检测出SAR图像中的目标,抑制噪声干扰并减少目标的虚警率.

表3 算法计算时间比较
Tab.3 Comparison of algorithm calculation time s

文献[12]文献[13]本文算法53.4297.6726.148

参考文献(References):

[1]伍薇,苏娟.一种基于双向匹配融合的合成孔径雷达景象匹配算法 [J].兵工学报,2019,40(1):124-133.

(WU Wei,SU Juan.A SAR scene matching algorithm based on bidirectional matching fusion [J].Acta Ordnance Engineering,2019,40(1):124-133.)

[2]郭庆荣,贾振红,杨杰,等.基于非下采样Shearlet变换与模糊对比度的合成孔径雷达图像增强 [J].计算机应用,2018(9):2701-2705.

(GUO Qing-rong,JIA Zhen-hong,YANG Jie,et al.SAR image enhancement based on nonsubsampled Shearlet transform and fuzzy contrast [J].Computer Applications,2018(9):2701-2705.)

[3]刘帅奇,扈琪,刘彤,等.合成孔径雷达图像去噪算法研究综述 [J].兵器装备工程学报,2018,39(12):112-118.

(LIU Shuai-qi,HU Qi,LIU Tong,et al.A review of SAR image denoising algorithms [J].Journal of Ordnance Equipment Engineering,2018,39(12):112-118.)

[4]熊伟,徐永力,姚力波,等.基于频谱残差视觉显著计算的高分辨SAR图像舰船检测算法 [J].电光与控制,2018,25(4):7-11.

(XIONG Wei,XU Yong-li,YAO Li-bo,et al.Ship detection algorithm for high resolution SAR images based on spectral residual visual saliency calculation [J].Electrooptic and Control,2018,25(4):7-11.)

[5]Furukawa H.Deep learning for end-to-end automatic target recognition from synthetic aperture radar imagery [J].IEEE Transactions on Image Processing,2018,27(2):10-22.

[6]Dong H,Ma W,Wu Y,et al.Local descriptor learning for change detection in synthetic aperture radar images via convolutional neural networks [J].IEEE Access,2019,52(3):15389-15403.

[7]Yue Z,Gao F,Xiong Q,et al.A novel semi-supervised convolutional neural network method for synthetic aperture radar image recognition [J].Cognitive Computation,2019,32(7):366-378.

[8]Chen L G,Hong Y Z.Synthetic aperture radar target identification based on incremental kernel extreme learning machine [C]//10th International Conference on Digital Image Processing.Beijing,China,2018:633-640.

[9]Wang S H,Sun J,Phillips P,et al.Polarimetric synthetic aperture radar image segmentation by convolutional neural network using graphical processing units [J].Journal of Real Time Image Processing,2018,15(3):631-642.

[10]Ni K,Wu Y.Synthetic aperture radar river image segmentation using improved localizing region-based active contour model [J].Pattern Analysis and Applications,2018,5:200-209.

[11]刘平,王晓,刘春.小差异化图像数据库中的特定特征挖掘方法设计 [J].沈阳工业大学学报,2017,39(5):562-566.

(LIU Ping,WANG Xiao,LIU Chun.Design of speci-fic feature mining method in image database with small alienation [J].Journal of Shenyang University of Technology,2017,39(5):562-566.)

[12]李响,苏娟,伍薇.一种基于显著性区域分割的SAR图像配准算法 [J].扬州大学学报(自然科学版),2018,21(3):72-76.

(LI Xiang,SU Juan,WU Wei.A SAR image registration algorithm based on saliency region segmentation [J].Journal of Yangzhou University (Natural Science Edition),2018,21(3):72-76.)

[13]Coelho D F G,Cintra R J,Frery A C,et al.Fast matrix inversion and determinant computation for polarimetric synthetic aperture radar [J].Computers & Geosciences,2018,119(10):109-114.

[14]Yang X,Wang J,Zhu R.Random walks for synthetic aperture radar image fusion in framelet domain [J].IEEE Transactions on Image Processing,2018,27(2):851-865.

Synthetic aperture radar target detection algorithm based on saliency detection

FAN Yue, XIE Feng

(School of Electronic Engineering, Naval University of Engineering, Wuhan 430033, China)

Abstract Aiming at the problems concerning the edge, texture and shape information of the synthetic aperture radar image and the large image scale, a synthetic aperture radar target detection algorithm based on saliency detection was proposed. The synthetic aperture radar image was expressed as super pixels to construct the correlation diagram among super pixels to decouple the entire image. At the same time, based on the characteristics of non-uniform sampling of multi-scale images by the human visual system, the local contrast saliency, pixel compactness saliency and global unique saliency mappings were extracted, respectively. Bayesian estimation was used to obtain the pixel-level accurate saliency maps of the SAR image, and to merge the three saliency maps for the final saliency map and target detection. The qualitative and quantitative results of various SAR image saliency detection experiments show that the as-proposed method is significantly better than the currently existing methods.

Key words synthetic aperture radar image; super pixel segmentation; target detection; saliency; Bayesian estimation; local contrast; global uniqueness; pixel compactness

收稿日期 2020-09-03.

基金项目 湖北省自然科学基金项目(2017CFB591).

作者简介 范 越(1983-),女,湖北黄石人,副教授,博士生,主要从事深度学习和神经网络在雷达目标自动识别与检测等方面的研究.

doi:10.7688/j.issn.1000-1646.2022.03.13

中图分类号: TN 957

文献标志码: A

文章编号: 1000-1646(2022)03-0316-05

(责任编辑:景 勇 英文审校:尹淑英)