基于改进北斗卫星导航的超高层建筑变形监测方法*

赵 娟1, 白 春1,2, 史青菁1, 赵丽花3

(1. 商丘学院 建筑与土木工程学院, 河南 商丘 476000; 2. 辽宁工程技术大学 土木工程学院, 辽宁 阜新 123000; 3. 安阳学院 建筑工程学院, 河南 安阳 455000)

摘 要: 针对当前超高层建筑变形监测方法存在建筑基线分量计算误差大、无法提供明确建筑变形信息的问题,提出基于改进北斗卫星导航的超高层建筑变形监测方法.通过计算超高层建筑图像的信号阈值,获取图像噪声强度等信息,完成图像信息去噪.在去噪图像基础上,根据误差计算公式获取建筑总投点的误差以及总体高度,并构建变形监测模型.通过对该模型的计算,实现了超高层建筑变形监测.结果表明,所提方法的超高层建筑基线分量误差较小,并具备较高的误差校准能力,验证了所提方法的有效性.

关 键 词: 北斗卫星导航; 超高层; 变形监测; 信号阈值; 噪声强度; 小波系数; 基线分量

随着建筑行业的不断发展,各城市兴建了很多如电视塔、商业观光台等超高层建筑.但超高层建筑的涌现也为施工过程带来了安全隐患,在建筑高度不断增加的情况下,建筑的受力和稳定性也随之产生变化,这些因素直接影响了超高层建筑的安全性,因此需要对超高层建筑变形展开监测[1-2].监测不仅可以获得超高层建筑的变形大小及方向,分析建筑的摆动周期[3],还可以分析建筑变形数据,找到影响超高层建筑变形的原因,并根据原因进行调整,保证了高层建筑的安全性[4].

熊春宝等[5]提出基于三维激光扫描的超高层建筑变形监测方法.在建筑稳定区设置控制点,可以配准扫描点云坐标;在建筑变形区域重点部位设置标靶球当作监测点,并将建筑重点部位的监测点和整体面状监测点进行结合,可以解决扫描点云的“伪变形”问题,最终实现了变形监测.该方法使监测工作效率得到了提高,但该方法建筑基线分量的误差较大.姜绍飞等[6]提出基于FBG应变测量的超高层建筑变形监测方法,文章推导了构造函数和应变测量的计算公式,构建有限元模型,获得监测过程中传感器布设个数,并对其在实际工程的使用范围进行了讨论.该方法具有一定的可行性,但存在成本较高且变形监测获取速度较慢的问题.针对上述两种研究方法中存在的问题,并且为了保证超高层建筑的安全性,本文提出了基于改进北斗卫星导航的超高层建筑变形监测方法.

1 变形监测算法研究

采用北斗卫星导航系统对超高层建筑变形进行监测,能够克服原有变形监测算法受条件限制以及效率低的弊端.对于超高层建筑图像可通过改进的北斗卫星导航图像获得[7-8].

改进北斗卫星导航系统首先需要用户发射信号,然后经卫星中转,将发射信号传输到地面数据控制中心.对于接收到的信号,需进行数据解算,然后地面数据控制中心将解算结果通过卫星返还到用户手中.传统北斗卫星导航系统的用户需接收4个卫星的位置信息,并且数据或信息需自己解算进行;而改进的北斗卫星导航系统不仅具有转发功能,还具备收发双向数字报文的通信能力,改进北斗卫星导航系统的通信接口经过光纤网与主站相连,将建筑图像经通信接口传输至地面数据控制中心.但该系统获取的建筑图像数据存在噪声干扰,为实现建筑变形的准确监测,需对图像数据进行去噪处理.

1.1 阈值去噪

对超高层建筑进行变形监测,在采集数据时,环境的影响使信号受到干扰,监测数据将会产生数量差[9].为了对噪声干扰进行消除,需要在噪声中对有用的数据进行提取.阈值去噪主要分为三个步骤:小波分解、量化小波分解高频系数的阈值和小波重构.

在去噪之前,需增大分解尺度,根据原始和去噪后重构信号间的均方根误差变化情况,对最佳分解层数进行确定[10].在进行去噪时,去噪效果是由阈值来决定的,当阈值过大时,将会消除掉有用信号,使信号出现失真现象;当阈值过小时,将不能完全消除噪声.采用阈值计算式对信号阈值进行计算,获得的阈值具有较高的可信度,其计算表达式为

(1)

式中:σ为噪声强度;k为离散点数量.

由式(1)可知,在确定阈值过程中,需要得知噪声强度.本文首先通过单尺度分解和重构实测信号,获取均方根误差,然后选择均方根误差适合的倍数作为噪声强度.

为了对阈值进行分层获取,本文对阈值计算公式进行了改进,即

Ti=T/ln(j-1)

(2)

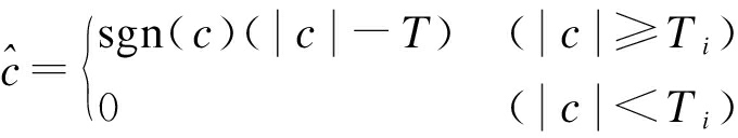
式中,j为分解层数.在确定阈值的基础上,对高频系数进行阈值量化,需要用到阈值函数.当前阈值函数主要分为软阈值函数和硬阈值函数两类.由于硬阈值函数存在“一刀切”现象,即该函数会将小于某界限数值全部舍弃掉,会在小波域产生突变,导致去噪结果产生局部抖动.为避免该现象发生,本文选取软阈值函数进行高频系数阈值量化,软阈值函数可以平滑重构信号,该函数的表达式[11]

(3)

式中,c为小波变换原始信号时获得的小波系数.

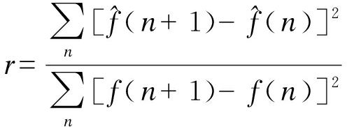
本文选择信噪比和均方根误差两项指标对去噪效果进行衡量.均方根误差是指小波去噪之后与实测数据间方差的平方根,可以反映出数据间的离散程度,均方根误差的计算表达式为

(4)

式中:s(n)为实测信号;为经过小波去噪之后的估计信号;n为信号长度.

信噪比可以对去噪效果进行评价,其计算表达式为

(5)

(6)

(7)

式中,psignalpnoise分别为实测信号和噪声的功率[12].信噪比越高,原始信号与估计信号之间的均方根误差越小,去噪效果越好.

在有效评价去噪效果之后,本文加入平滑度指标来对去噪信号的趋势进行描述,平滑度指标的计算公式为

(8)

式中,f(n)为估计信号.该指标可以反映信号经过去噪的平滑程度,通常情况下,去噪后信号的光滑性越好,说明去噪方法越好.

1.2 建筑垂直度控制

为了保证超高层建筑的截面尺寸、形状以及垂直度达到要求,需要按照工程的实际情况构建控制网.本文主要采用内控制模式,该控制是在超高层建筑的0 m面中构建控制网,并在控制点竖向对应的位置处设置竖向传递孔,利用传递孔将控制点传送给不同的楼层.

利用精度为千分之一的激光垂准仪将每个楼层中的控制点传递给高层,则仪器所确定的每60 m坐标的误差及投点误差为

m=60×1 000/r

(9)

(10)

式中,md为对中误差.设共投测N段,则总误差可表示为

(11)

1.3 建筑变形监测

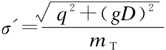
在北斗卫星导航监测网中,相邻点间的基线长度误差可表示为

(12)

式中:σ′为监测网中相邻点之间距离误差;q为固定误差;g为比例误差;D为相邻点之间的距离[13].

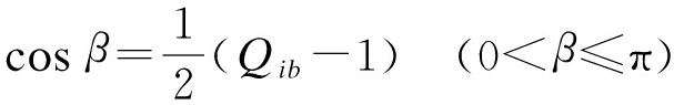
利用形变监测面的运动状态对超高层建筑的变形进行反映,利用方向余弦矩阵对监测面中一个位置到另一个位置的运动关系进行表述.当监测面在位置A时,此时监测点的坐标可以表示为Mi=(XiaYiaZia),其中,i为监测点的数量,监测所得两面的位置距离表达式为

Qib=Mil

(13)

式中,l为方向余弦矩阵.该矩阵属于正交矩阵,根据最小二乘原理可以求出该矩阵的每个元素[14],则监测面从位置AB的转角为

(14)

将变形模型应用至超高层建筑变形监测中,能够有效实现建筑物形体变化,为建筑工程提供施工理论基础.

变形模型主要是对超高层建筑的形态特点、结构以及材料性质进行分析[15],但应用变形模型需要注意:

1) 设超高层建筑为刚体,忽略其弹性的变化;

2) 方向余弦矩阵中一共存在三个相互独立的元素,为保证观测值更为准确可靠,最好设置三个监测点;

3) 对于超高层建筑来说,需要根据建筑底部的几何中心来描述建筑运动时的转动矢量,并对超高层建筑的底部进行监测,确定其坐标.

2 实验结果与数据分析

所测建筑高为112.233 m,剪力墙结构,地基持力层为砾砂层.该建筑所在地区地势平坦,建筑结构安全等级为二级,为确保建筑的安全使用,需对其变形进行监测.利用Trimble R8对该建筑进行动态变形监测,设置采样频率1 Hz.由于数据采集过程中存在横风荷载、多路径效应的影响,本文采用HHT频谱分析提取建筑变形信息.提取波动性较大的监测数据作为实验数据,并对数值进行归一化处理.根据工程情况,设置超高层建筑的水平准基点分别为AM、RM、QM,其分布情况如图1所示,形成一个闭合的水平路线.分别对以上三个水平准基点进行5次观测,得到水平基准点的高程如表1所示.

图1 水平准基点分布图
Fig.1 Distribution of bench marks

表1 水平基准点高程数据
Tab.1 Altitude data of bench marks m

序号观测时间AM高程RM高程QM高程12017-03-02112.23321112.23020112.3332122017-08-30112.23323112.23021112.3331932018-04-18112.23325112.23023112.3332342018-05-10112.23321112.23025112.3332252018-09-03112.23315112.23017112.33318

为了验证基于改进北斗卫星导航的超高层建筑变形监测方法的有效性,根据表1所得高程平差值数据结果测试超高建筑各个测段基线分量的误差,并与文献[5-6]方法进行对比分析,结果如图2所示.

图2 不同方法的基线分量误差对比结果
Fig.2 Comparison results of baseline component errors with different methods

分析图2可知,在不同时段下,本文方法的基线分量误差的整体变化在0~1 mm范围内,而文献[5-6]所提方法的基线分量误差在1~2 mm之间,本文方法的基线分量误差略低于两种对比算法,可以更加准确地对超高层建筑进行变形监测.

在对基线分量误差测试的基础上,对基线分量为4 mm的误差进行监测,验证本文方法的误差校准功能,测试结果如图3所示.

图3 基线分量误差校准测试结果
Fig.3 Calibration test results of baseline component errors

分析图3可知,对于4 mm的变形来说,本文方法可以准确地将建筑的变形信息识别出来,文献[5]基线分量校差性能较差,文献[6]基线分量校差的随机性较大,不能准确监测出超高层建筑变形信息.通过对基线分量误差和校差的测试,说明本文方法可以有效地实现超高层建筑的变形监测.

3 结 论

为了分析超高层建筑的变形情况,本文提出了一种基于改进北斗卫星的超高层建筑变形监测方法,并分别对建筑基线分量的误差和校差展开实验.实验结果表明,提出方法所得到的基线分量误差较小,并且可以明确地识别出超高层建筑的变形信息,验证了提出方法的有效性,同时,所提出方法能够为建筑变形监测未来的研究奠定基础.

参考文献(References):

[1] 周予启,过静珺,张胜良,等.深圳平安金融中心高精度北斗变形监测系统的研发与应用 [J].施工技术,2017,46(8):76-79.

(ZHOU Yu-qi,GUO Jing-jun,ZHANG Sheng-liang,et al.Development and application of the high precision Beidou deformation monitoring system in Shen-zhen Ping’an financial center [J].Construction Technology,2017,46(8):76-79.)

[2] 朱军桃,李亚威,熊东旭,等.建筑物沉降监测中的改进灰色模型 [J].测绘科学,2017,42(11):85-91.

(ZHU Jun-tao,LI Ya-wei,XIONG Dong-xu,et al.An improved grey mode in the building settlement monitoring [J].Science of Surveying and Mapping,2017,42(11):85-91.)

[3] 吴迈,魏强,孙勇超.津湾广场9号楼深基坑变形监测研究 [J].施工技术,2017,46(19):26-31.

(WU Mai,WEI Qiang,SUN Yong-chao.Monitoring study on the deformation of deep foundation excavation in No.9 building of Jinwan plaza [J].Construction Technology,2017,46(19):26-31.)

[4] 李秋胜,周康,贺映候,等.深圳平安金融中心施工监测与模拟研究 [J].建筑科学与工程学报,2016,33(3):9-18.

(LI Qiu-sheng,ZHOU Kang,HE Ying-hou,et al.Construction monitoring and simulation study on Ping’an financial center in Shenzhen [J].Journal of Architecture and Civil Engineering,2016,33(3):9-18.)

[5] 熊春宝,杨林,熊爱成,等.基于三维激光扫描异地控制法的深基坑变形监测 [J].建筑技术,2016,47(9):777-780.

(XIONG Chun-bao,YANG Lin,XIONG Ai-cheng,et al.Deformation monitoring of deep foundation pit based on allochthonous control method of 3d laser scanning [J].Architecture Technology,2016,47(9):777-780.)

[6] 姜绍飞,唐伟杰,吴铭昊,等.基于FBG应变测量的古建筑木梁变形监测方法 [J].地震工程与工程振动,2016,36(6):198-206.

(JIANG Shao-fei,TANG Wei-jie,WU Ming-hao,et al.Ancient building wooden beam deformation monitoring method based on FBG strain measurement [J].Earthquake Engineering and Engineering Dyna-mics,2016,36(6):198-206.)

[7] 冯跃,张显来,刘占省,等.超高层建筑施工过程中竖向变形分析 [J].建筑技术,2018,49(7):754-757.

(FENG Yue,ZHANG Xian-lai,LIU Zhan-sheng,et al.Analysis of vertical deformation during construction of super tall buildings [J].Architecture Techno-logy,2018,49(7):754-757.)

[8] 王国利,吴桂凯,王晏民,等.多源数据古塔变形监测研究 [J].地球信息科学学报,2018,20(4):496-504.

(WANG Guo-li,WU Gui-kai,WANG Yan-min,et al.Deformation monitoring of ancient pagoda with multi-source data [J].Journal of Geo-Information Science,2018,20(4):496-504.)

[9] 万海涛,汪一帆,张瀚文,等.CRB550级高强箍筋在梁构件中应用的可行性分析 [J].沈阳工业大学学报,2017,39(1):116-120.

(WAN Hai-tao,WANG Yi-fan,ZHANG Han-wen,et al.Feasibility analysis on CRB550 grade high-strength stirrup in beam members [J].Journal of Shen-yang University of Technology,2017,39(1):116-120.)

[10] 曾繁轩,闫勇,李亮.三维激光扫描技术在矿区建筑物变形规律提取中的应用 [J].煤炭工程,2017,49(6):117-121.

(ZENG Fan-xuan,YAN Yong,LI Liang.Application of 3D laser scanning in deformation extraction of mining area buildings [J].Coal Engineering,2017,49(6):117-121.)

[11] 马维青,穆昭玺,袁广林.基于三维激光扫描技术的采动区高压线塔变形监测和结构安全分析 [J].钢结构,2017,32(12):76-80.

(MA Wei-qing,MU Zhao-xi,YUAN Guang-lin.Deformation monitoring and structural safety analysis of high-voltage tower in mining area based on TLS [J].Steel Construction,2017,32(12):76-80.)

[12] 王赏,蔡德所,王一立,等.磁惯导系统在大坝变形监测中的应用研究 [J].人民长江,2017,48(3):97-101.

(WANG Shang,CAI De-suo,WANG Yi-li,et al.Application of magnetic inertial navigation system in dam deformation monitoring [J].Yangtze River,2017,48(3):97-101.)

[13] 张昊宇,周克勤,宋亚腾,等.基于新型FMCW地基合成孔径雷达的大坝变形监测 [J].长江科学院院报,2017,34(12):33-37.

(ZHANG Hao-yu,ZHOU Ke-qin,SONG Ya-teng,et al.A novel FMCW GB-SAR based dam deformation monitoring [J].Journal of Yangtze River Scientific Research Institute,2017,34(12):33-37.)

[14] 夏才初,那通兴,彭国才,等.公路隧道施工变形监测精度要求探讨 [J].隧道建设,2016,36(5):508-512.

(XIA Cai-chu,NA Tong-xing,PENG Guo-cai,et al.Discussion on deformation monitoring accuracy of highway tunnel construction [J].Tunnel Construction,2016,36(5):508-512.)

[15] 段明旭,邱冬炜,李婉,等.改进灰色人工神经网络模型的超高层建筑变形预测 [J].测绘科学,2017,42(4):141-146.

(DUAN Ming-xu,QIU Dong-wei,LI Wan,et al.The GM-BPNN prediction research in the deformation forecasting of the super high-rise building [J].Science of Surveying and Mapping,2017,42(4):141-146.)

Deformation monitoring method of super high-rise buildings based on improved Beidou satellite navigation

ZHAO Juan1, BAI Chun1,2, SHI Qing-jing1, ZHAO Li-hua3

(1. College of Architecture and Civil Engineering, Shangqiu University, Shangqiu 476000, China; 2. Civil Engineering College, Liaoning University of Engineering and Technology, Fuxin 123000, China; 3. College of Architecture and Civil Engineering, Anyang University, Anyang 455000, China)

Abstract In view of the problem that the current deformation monitoring methods of super high-rise building have large calculation errors of building baseline components and cannot provide clear building deformation information, a deformation monitoring method for super high-rise buildings based on improved Beidou satellite navigation was proposed. Through calculating the signal threshold of super high-rise building images, the image noise intensity and other information were obtained to complete the image information denoising. On the basis of denoised images, the total construction point error and the overall height were obtained according to the error calculation formula, and a deformation monitoring model was established. Through the calculation with the as-proposed model, the deformation monitoring of super high-rise buildings was realized. The results show that the as-proposed method has small baseline component errors and high error calibration capability, indicating the effectiveness of as-proposed method.

Key words Beidou satellite navigation; super high-rise; deformation monitoring; signal threshold; noise intensity; wavelet coefficient; baseline component

中图分类号: TU 973

文献标志码: A

文章编号: 1000-1646(2022)04-0426-05

收稿日期 2019-05-31.

基金项目 河南省高等学校重点科研项目(18A560019); 河南省大学生创新训练计划资助项目(S201814003003).

作者简介 赵 娟(1985-),女,河南开封人,讲师,硕士,主要从事卫星图片定位与导航等方面的研究.

*本文已于2021-12-21 09∶07在中国知网优先数字出版. 网络出版地址: http:∥kns.cnki.net/kcms/detail/21.1189.T.20211218.1421.008.html

doi:10.7688/j.issn.1000-1646.2022.04.12

(责任编辑:景 勇 英文审校:尹淑英)