200 kV直流电压互感器是测量高压直流输电系统电压的重要设备,为系统的控制与保护提供了准确、可靠的电压测量信息[1-3].由于阻容分压器具有幅频特性好、线性度高及响应特性好等优点,且阻容分压器测量的频带范围较宽,基本覆盖从直流、工频到冲击电压的全部测量电压范围.因此,以阻容分压器为基础的阻容分压式直流电压互感器得到了广泛的应用[4].
通常同轴电缆的特征阻抗远小于合并单元输入电阻,测量信号波传递到电缆末端时,难以避免地会发生反射且反射波较大.若传输电缆首端未有阻抗匹配措施,则信号波会在电缆首端发生反射,造成测量分压比的变化及测量波形的振荡,导致传输信号的失真[5-6].因此,研究阻容分压式直流电压互感器内部的阻抗匹配情况,并提出有效的阻抗匹配措施具有实际意义.
针对电压互感器内部的阻抗匹配问题,国内外学者已进行一定的研究.段梅梅等[7]设计了电阻分压式电压互感器的阻抗匹配电路,研究了阻抗匹配电路各部分的选型;李君等[8]介绍了电阻分压器测量系统的阻抗匹配情况,研究了测量系统阻抗不匹配对分压器分压比和测量波形振荡的影响.刘伟莲[9]从高压引线、同轴电缆两个方面研究电阻分压器在纳秒高压脉冲测量中的阻抗匹配问题.综上可知,目前针对互感器阻抗匹配的研究,大多数集中在电阻分压器在脉冲测量试验中的阻抗匹配问题.而对阻容分压式直流电压互感器阻抗匹配的研究仍不够充分.
本文通过对阻容分压式直流电压互感器工作原理的研究,依据实际参数建立阻容分压式直流电压互感器的MATLAB仿真模型.探究互感器内部的阻抗匹配情况,通过实验测试互感器合并单元的阻抗匹配效果.最后,提出针对阻容分压式直流电压互感器有效的阻抗匹配措施,并通过仿真验证其匹配效果.
阻容分压式直流电压互感器通常由阻容分压器、双屏蔽电缆及合并单元模块组成,其中阻容分压器包括高压臂和低压臂,由多级电阻和电容进行串并联构成.合并单元模块包括:二次分压回路、转换模块及数据合并单元.低压测量信号经由二次分压回路转换为更低电压等级的直流电压信号,经由数模转换、数据合并、光纤传输等信号处理后输出符合国家标准要求的模拟信号或数字信号.
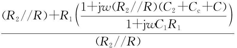
阻容分压式直流电压互感器的工作原理图如图1所示.其中R1、C1为阻容分压器高压臂的电阻、电容;R2、C2为阻容分压器低压臂的电阻、电容;Cc为双屏蔽电缆等效电容;R、C为合并单元模块的等效输入电阻、电容.直流电压互感器的分压功能主要通过电阻R1、R2与电容C1、C2并联组成RC网络来实现.
由图1可得,阻容分压式电压互感器的一次分压比为
图1 直流电压互感器工作原理图
Fig.1 Working principle of DC voltage transformer

(1)
为保证被测电压中各种频率分量均可顺利通过,并以同一变比传输至下一级,应使得电压互感器各部分时间常数一致,为此互感器的电阻电容值应满足:R1C1-(R2//R)(C2+Cc+C)=0,即
此时阻容分压器分压比与频率无关,被测电压波形可无畸变传输,满足了互感器传输测量信号的要求.
图1中并未考虑合并单元内部的二次分压,二次分压电路位于合并单元模块内部.对阻容分压器输出的低压信号进行进一步分压,并转换为多路相互独立的信号输出.设二次分压比为p,则直流阻容式电压互感器的总分压比为
(2)
当传输电缆末端阻抗不匹配时,测量信号会在电缆末端发生反射.通常情况下,同轴电缆特征阻抗为50 Ω或75 Ω,而合并单元输入电阻一般达到千欧姆级,远大于电缆特征阻抗.传输电缆末端反射系数较大,末端反射波也较大,入射信号波叠加反射波会出现振荡,造成信号失真,严重影响互感器测量的准确度.因此,有必要针对阻容分压式直流电压互感器的阻抗匹配展开研究.
由传输线理论可知,传输线上任意位置的电压、电流是该点的入射波、反射波的叠加,该位置的电压反射系数为反射波与入射波的比值.阻抗匹配的基本原理是使负载阻抗等于传输线特性阻抗,从而使得反射系数为0.传输线上仅存在从首端向末端行进的入射波而无反射波,传输信号不会失真,且电磁能量最大程度地被负载所吸收[10].
为了便于分析,假设传输线的损耗可忽略,即认为传输线是均匀无损传输线.图2为典型的分压器测量系统示意图,其中ZC为传输线的特性阻抗,ZL为终端负载阻抗.
图2 典型分压器测量系统示意图
Fig.2 Schematic diagram of measurement system of typical voltage divider
传输线终端的电压反射系数为
可见当阻抗匹配(ZL=ZC)时,β=0,传输电缆末端不发生反射,测量信号不会失真;当阻抗不匹配(ZL≠ZC)时,β≠0,传输电缆末端存在反射;当终端负载阻抗远大于电缆特性阻抗(ZL≫ZC)时,β≈1,传输电缆末端发生全反射,出现较大的过电压.若传输电缆首端未有阻抗匹配措施,波会在传输电缆中来回反射,出现振荡,影响测量结果.
实际工程中为满足直流电压互感器的阻抗匹配要求,通常需要选取双屏蔽层(层间夹有绝缘)的同轴电缆.同时电缆的首末两端应焊在专门的插头上,该插头的接地外套以规范的螺丝连接方式或以导电胶的方式紧密地与分压器低压臂的外金属壳或末端二次分压器相连接.两端部的连接务必规范化,切忌使用长连线代替插头,否则会在波形测量中带来异常振荡.此外,需要在传输电缆的一端或两端加装一定的阻抗匹配装置.
为研究阻容分压式直流电压互感器内部的阻抗匹配情况,本文采用MATLAB软件建立阻容分压式直流电压互感器的仿真模型.
直流电压互感器仿真模型主要分为:阻容分压器、同轴电缆、合并单元模块3部分.其中,同轴电缆模型选用Simulink仿真元件库中的PI Section Line传输线元件仿真;合并单元模型依据互感器的实际结构建立,采用Simulink仿真元件库的各模块组成.仿真模型中远端模块数模转换器采用16位转换模块实现,利用双重化采样比较技术,保证了全量程的测量精度;光电转换及电光转换采用光电耦合器进行模拟.
仿真模型各部分参数依据实际的XRC-200阻容分压式直流电压互感器参数建立.主要参数选取如表1所示.
表1 XRC-200阻容分压式直流电压互感器实际参数
Tab.1 Actual parameters for XRC-200 DC voltage transformer based on resistance-capacitance divider
互感器相关参数参数值高压臂电阻值150MΩ低压臂电阻值34.46kΩ合并单元输入电阻值232kΩ传输电缆长度25m电缆芯线电感值1.6μH/m高压臂电容值2000pF低压臂电容值8.44μF合并单元输入电容值1.56μF传输电缆电容值90pF/m传输电缆等效特征阻抗133Ω
由表1参数可知,对应图1中Cc=2 250 pF、R=232 kΩ、C=1.56 μF,代入互感器实际参数可得到仿真模型一次分压比为
(3)
仿真输入电压波形选择阶跃电压波,可以直观地观测到电压波形的振荡情况.设置直流电压源输出电压幅值为20 kV,由断路器开断得到20 kV的阶跃波,运行软件得到的互感器仿真输出波形如图3所示.
图3 直流阻容式电压互感器模型仿真波形
Fig.3 Simulation model waveform of DC voltage transformer based on resistance-capacitance divider
由图3可知,在无外加阻抗匹配措施的情况下,直流阻容式电压互感器内部阻抗匹配情况并不理想,由传输电缆末端阻抗不匹配引起的波形振荡并不能完全消除.为进一步验证互感器内部阻抗匹配的效果,本文采用200 kV阻容分压式直流电压互感器试品进行了阻抗匹配的测试实验.
阻容分压式直流电压互感器阻抗匹配测试实验的原理接线图如图4所示.
图4 实验电路接线原理图
Fig.4 Wiring principle of experimental circuit
实验采用额定电压等级200 kV的方波电压发生器输出幅值为20 kV的阶跃信号波作为输入测量信号,标准电容分压器与XRC-200阻容分压式直流电压互感器并联接入实验电路.标准电容分压器和阻容式直流电压互感器额定电压等级均为200 kV,分压比均为20 000∶1.分别进行两次阶跃响应实验作为对照,研究互感器合并单元的阻抗匹配情况.
实验1中阻容分压式电压互感器未连接合并单元,直接通过示波器测量标准器及阻容分压式电压互感器传输电缆末端的输出电压信号.此时示波器测量得到输出电压如图5所示.
图5 实验1示波器输出电压
Fig.5 Output voltage of oscilloscope in experiment 1
图5中,通道1代表标准器输出波形,通道2代表阻容式电压互感器输出波形,红框图示由示波器水平刻度从2 ms调整到10 μs得到,下同.由图5可知,未连接合并单元时,阻容分压式直流电压互感器阶跃响应波形出现振荡,且有较大的过电压.
实验2中阻容分压式电压互感器连接合并单元,示波器测量标准器输出电压及合并单元模拟量输出电压如图6所示.
图6 实验2示波器输出电压
Fig.6 Output voltage of oscilloscope in experiment 2
由图6可知,连接合并单元后,阻容分压式直流电压互感器阶跃响应波形中振荡仍然存在,过电压较未连接合并单元时减小.
由图5、6对比可知,对于传输电缆末端阻抗失配引起的测量波形振荡现象,合并单元模块有一定的削弱功效,但并不能完全消除振荡,而振荡造成的过电压可能会造成控制保护装置误动,因此有必要进一步采取措施消除振荡.
阻抗失配会导致测量信号的畸变与失真,造成电压测量的不准确.当前常用的经济有效的阻抗匹配方法是利用滤波器来抑制传输线端的过电压现象[11].国标GB/T 14549-1993中规定在电力系统继电保护和计量中一般要求保留19次以下的谐波,因此采用一个低通、抗混叠的滤波器作为电压互感器的滤波器则可以满足要求[12].本文分别采取RC无源滤波器和有源滤波器两种方法来消除振荡、抑制过电压.
一阶RC无源低通滤波器电路是通过将一个电阻与信号通路串联,并将一个电容器与负载并联而实现的.信号从电阻一侧输入,从电容两端输出电压.此时输出电压对输入电压的传输系数为
(4)
由此得到传输系数的幅频特性和相频特性分别为
(5)
φ(ω)=-arctan(ωRC)
(6)
当信号源频率ω→0时,A(ω)=1,信号不受衰减地通过;当频率ω较大时,A(ω)=0,信号完全被阻挡,不能通过.即该电路可通过低频信号抑制高频信号,具有低通滤波的作用.
当幅频增益的分贝数下降3 dB时,即A(ω)=
此时得到RC低通滤波器的截止角频率
截止频率![]()
为使电压信号第一次到达传输电缆末端不会发生反射现象,应使滤波器电阻R与传输电缆特性阻抗的数值相等.为此可取R=133 Ω,C=1 μF,此时截止频率为
而fc=1 196 Hz>950 Hz,可以通过19次及以下的谐波,符合计量要求.利用MATLAB软件可绘制一阶RC无源低通滤波器的幅频特性曲线和相频特性曲线,如图7所示.
图7 一阶RC无源低通滤波器伯德图
Fig.7 Bode diagram of first-order RC passive low-pass filter
由图7可得,设计的一阶RC无源低通滤波器在低频带内幅频特性较好,相位延时也在可接受的范围内,可以满足电压互感器低通滤波的要求.
为验证一阶RC低通滤波器的阻抗匹配效果,在建立的阻容分压式直流电压互感器仿真模型中,加设一阶RC低通滤波器后得到互感器输出波形如图8所示.
图8 加设RC低通滤波器后互感器输出波形
Fig.8 Output waveform of transformer after adding RC low-pass filter
由仿真结果可得,互感器输出电压幅值为0.913 4 V,而互感器理论输出应为1 V.信号通过RC低通滤波器有所损耗.综上可知,RC低通滤波器滤波特性较差,信号衰减较大,多数用在小电流、要求低的电路中.
有源滤波器由运算放大器和小型的电阻、电容构成,体积比无源滤波器小.参数较无源滤波器更容易配置,能够根据要求设计出各种性能的滤波器.
最常用的低通滤波器有3种,分别是:巴特沃斯滤波器、切比雪夫滤波器和贝塞尔滤波器[13].在相同截止频率下,巴特沃斯低通滤波器的阶数越高,在阻频带振幅衰减速度越快,且检测精度越好,但其动态响应速度会变慢.综合考虑,本文选择二阶巴特沃斯低通滤波器作为阻抗匹配措施.
仿真条件同上,在建立的阻容分压式直流电压互感器模型中加设二阶巴特沃斯低通滤波器后得到互感器输出波形如图9所示.
图9 加设二阶巴特沃斯低通滤波器后互感器输出波形
Fig.9 Output waveform of transformer after adding second-order Butterworth low-pass filter
由图9仿真结果可得,互感器输出电压为0.997 5 V.由此可知,二阶巴特沃斯低通滤波器低频带内幅频特性平直,滤波特性好,但相频特性较差.
由以上仿真分析对比可知,与RC一阶无源低通滤波器相比,二阶巴特沃斯有源滤波器滤波特性更优.其在通频带中有较好的幅频特性,由低通滤波器带来的相位误差较小,可以较好地满足阻容分压式直流电压互感器的低通滤波的要求.此外巴特沃斯有源滤波器更稳定,参数更容易配置.因此在实际的阻容分压式直流电压互感器设计中,可以选择二阶巴特沃斯有源滤波器作为阻抗匹配措施.
阻容分压式直流电压互感器已随着直流输电系统的大规模建设而被广泛应用,但对于直流电压互感器内部电缆传输环节阻抗匹配情况的研究还较少.本文通过理论分析、实验测试、MATLAB建模仿真研究,得出结论如下:
1) 通过仿真分析及实验测量发现互感器内部阻抗匹配情况并不理想,合并单元模块有一定的阻抗匹配作用,但并不能完全消除振荡,需采取进一步的阻抗匹配措施;
2) 采用低通滤波器作为互感器内部阻抗匹配的有效措施,通过仿真对比分析发现,相较于RC无源滤波器,二阶巴特沃斯滤波器滤波特性更优,是更可靠、有效的阻抗匹配措施.
本文研究了阻容分压式直流电压互感器内部电缆传输环节的阻抗匹配情况,并针对存在问题提出了解决措施,对直流电压互感器的设计、应用有一定的指导意义.
[1] 束洪春,刘鑫,张青瑞.基于电子式电压互感器的行波测距技术 [J].沈阳工业大学学报,2016,38(4):367-372.
(SHU Hong-chun,LIU Xin,ZHANG Qing-rui.Traveling wave fault location technology based on electronic voltage transformer [J].Journal of Shenyang University of Technology,2016,38(4):367-372.)
[2] 李坤,邵明鑫,汪本进,等.±1 100 kV直流电压互感器在线监测系统研究 [J].高压电器,2017,53(6):1-7.
(LI Kun,SHAO Ming-xin,WANG Ben-jin,et al.On-line monitoring system for ±1 100 kV DC voltage transformer [J].High Voltage Apparatus,2017,53(6):1-7.)
[3] 张吼,俞恩科,董平,等.200 kV直流电子式电压互感器测量故障分析与处理 [J].浙江电力,2015,34(3):70-72.
(ZHANG Hou,YU En-ke,DONG Ping,et al.Analysis and treatment of measurement faults of 200 kV DC electronic voltage transformer [J].Zhejiang Electric Power,2015,34(3):70-72.)
[4] 杨桂平,郭毅.阻容分压型电子式电压互感器研究与设计 [J].电力电容器与无功补偿,2018,39(3):96-101.
(YANG Gui-ping,GUO Yi.Study and design on electronic voltage transformer based on resistance-capacitance divider [J].Power Capacitor & Reactive Power Compensation,2018,39(3):96-101.)
[5] 张仁豫,陈昌渔,王昌长.高电压试验技术 [M].北京:清华大学出版社,2009.
(ZHANG Ren-yu,CHEN Chang-yu,WANG Chang-chang.High voltage test technology [M].Beijing:Tsing-hua University Press,2009.)
[6] 曹俊平,温典,蒋愉宽,等.110kV电缆振荡波局部放电模拟试验分析 [J].浙江电力,2017,36(2):1-4.
(CAO Jun-ping,WEN Dian,JIANG Yu-kuan,et al.Analysis on simulation test of oscillation wave partial discharge of 110 kV cable [J].Zhejiang Electric Power,2017,36(2):1-4.)
[7] 段梅梅,李振华,李红斌,等.电阻分压型电子式电压互感器误差分析及对电能计量的影响研究 [J].电测与仪表,2015,52(2):59-63.
(DUAN Mei-mei,LI Zhen-hua,LI Hong-bin,et al.Error analysis of resistance dividing type electronic voltage transformer and its impact on electric power measurement [J].Electrical Measurement & Instrumentation,2015,52(2):59-63.)
[8] 李君,李俊,汪应春,等.高压电阻分压器的多参数影响模型与优化设计 [J].智慧电力,2018,46(7):92-96.
(LI Jun,LI Jun,WANG Ying-chun,et al.Multi-parameter influence model and optimal design of high-voltage resistance divider [J].Smart Power,2018,46(7):92-96.)
[9] 刘伟莲.基于电阻分压器的纳秒高压脉冲测量系统研究 [D].南京:南京农业大学,2008.
(LIU Wei-lian.The research of nanosecond high pulse measurement system based on resistance voltage divider [D].Nanjing:Nanjing Agricultural University,2008.)
[10] 付在明,王厚军,黄建国.传输线多分支结构的阻抗匹配技术研究 [J].电子科技大学学报,2018,47(2):189-193.
(FU Zai-ming,WANG Hou-jun,HUANG Jian-guo.Research on the impedance matching technology of the transmission line with the multiple branch [J].Journal of University of Electronic Science and Technology of China,2018,47(2):189-193.)
[11] 王新.基于左手传输线滤波器研究 [D].天津:天津大学,2016.
(WANG Xin.Study on the left-handed transmission line based filters [D].Tianjin:Tianjin University,2016.)
[12] 王玲,冯宇,邱进,等.电压互感器谐波特性测量用可控谐波电压源的构建 [J].电力系统保护与控制,2015,43(16):106-111.
(WANG Ling,FENG Yu,QIU Jin,et al.Construction of controllable harmonic voltage source for harmonic characteristic measurement [J].Power System Protection and Control,2015,43(16):106-111.)
[13] 苗汇静,谭博学,徐秀美.8阶贝塞尔低通滤波器精确设计及应用 [J].电子技术应用,2012,38(7):68-71.
(MIAO Hui-jing,TAN Bo-xue,XU Xiu-mei.Precise design and application of 8-order Bessel low-pass filter [J].Application of Electronic Technique,2012,38(7):68-71.)