仿生缓冲器的等效刚度与抗冲击性能分析

孙自强, 刘 川, 金映丽, 闫 明

(沈阳工业大学 机械工程学院, 沈阳 110870)

摘 要: 为了提高舰船设备的抗冲击性能,将仿生结构应用到缓冲器中.构建缓冲器的原理模型,应用Lagrange法建立缓冲系统的动力学方程,用泰勒公式对该方程进行简化,探讨缓冲器的刚度特性.用四阶龙格库塔方法进行冲击仿真计算,研究了连杆安装角度为60°时系统的抗冲击性能.结果表明,仿生缓冲器的等效刚度呈非线性特性,随相对位移的增大而增大,呈现出刚度硬化特性;在一定条件下,随着连杆长度的减小和连杆安装角度的增大,等效刚度的非线性越明显;与经典缓冲器相比,仿生缓冲器能有效降低设备的高度,而且具有更好的抗冲击性能.

关 键 词: 仿生结构; 缓冲器; Lagrange法; 泰勒公式; 龙格库塔; 等效刚度; 刚度硬化; 抗冲击性能

海军舰船受到水下非接触爆炸产生的冲击波、气泡脉动和滞后流的冲击作用,船体结构可能依然保持完整,但其内部设备却遭到破坏.为了保障舰船设备在冲击作用下正常工作,往往为舰船设备安装缓冲器[1-5].

近年来,关于仿生隔振系统的研究越来越多,Wu等[6]受动物肢体结构的启发,研究了肢体结构在被动隔振中的非线性特性;Dai等[7]提出了一种用于捕捉太空垃圾的新型仿生抗冲击机械手,从理论和实验两个方面研究了该系统的动力学响应和缓冲性能;Hu等[8]基于仿生X形结构和六自由度Stewart平台的非线性刚度和非线性阻尼特性,设计了一种被动六自由度隔振平台,并对其隔振性能进行了实验研究;Wang等[9]研究了一种新型n层垂直非对称X形结构模型,分析了其非线性刚度及非线性阻尼特性和隔振动态响应.Sun等[10]n层剪式桁架结构隔振平台为研究对象,研究被动、半主动、主动隔振系统的设计以及非线性隔振的优势.

为满足舰船稳定性要求,舰船的重心不能过高,所以要尽量降低设备的高度,如此也能降低设备受冲击时的倾覆力矩.因此,本文提出一种与经典缓冲器相比,能降低设备高度的仿生缓冲器,用Lagrange法建立仿生缓冲器的动力学模型,对系统动力学方程和等效刚度进行分析,用龙格库塔法计算仿生缓冲器的抗冲击性能.

1 仿生缓冲器原理

1.1 原理模型

该仿生结构模仿动物弯曲肢体,在膝盖处加上弹簧阻尼系统,并与另一端相连,如图1所示.仿生缓冲器由连杆、弹簧阻尼系统和相应的旋转接头组成,缓冲器上端与设备连接,下端与基础或甲板连接,其原理模型如图2所示,kc分别代表缓冲器中弹簧阻尼系统的刚度和阻尼.

图1 仿生结构
Fig.1 Bionic structure

图2 原理模型
Fig.2 Principle model

1.2 仿生缓冲器的运动方程

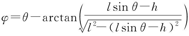
仿生缓冲器的几何关系如图3所示,m为设备质量,y1y2分别为设备和基础的位移,l为四根连杆的长度,θ为四根连杆的安装角度,h为弹簧阻尼系统的位移,x为弹簧阻尼系统的长度变化量,φ为连杆的旋转角度.不考虑连杆和旋转接头的质量及其之间的摩擦力,求解仿生缓冲器在垂向的动力学方程.

图3 几何关系
Fig.3 Geometric relationship

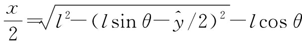
由图3可知,xφ可以根据y1y2坐标确定.根据系统水平和垂直方向的运动可得

(1)

lsin θ-h=lsin(θ-φ)

(2)

设备与基础之间的相对位移为

(3)

弹簧阻尼系统的位移为

h=(y2-y1)/2

(4)

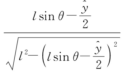
xφ可以表示为

(5)

(6)

式中,φ的取值范围为-θ<φ<90°-θ.

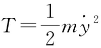
系统总动能为

(7)

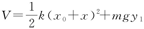
系统势能为

(8)

式中:k为弹簧阻尼系统的刚度;x0为弹簧阻尼系统的初始变形量.

拉格朗日函数[11]

L=T-V

(9)

拉格朗日方程[12]

(10)

式中,D为能量耗散函数,其表达式为

(11)

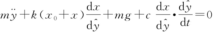
整理可得系统动力学方程为

(12)

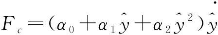
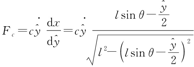
系统垂向刚度力为

(13)

系统垂向阻尼力为

(14)

由式(13)和(14)可以看出,仿生缓冲器的垂向刚度力和垂向阻尼力是非线性函数,其数值由杆长、连杆安装角度和弹簧阻尼系统的长度变化量所确定.

由于式(13)在处连续,为了简化计算,设x0=0,将其在处用泰勒公式做二阶展开,省略高阶项,可得

(15)

由于式(14)在处连续,将其在处用泰勒公式做二阶展开,省略高阶项,可得

(16)

将式(15)和(16)代入系统动力学方程得

(17)

式中:β0=0;β1=tan2θk

式(17)即是经过二阶泰勒展开后简化的系统动力学方程.

1.3 仿生缓冲器的等效刚度

为了探究连杆长度和连杆安装角度对仿生缓冲器等效刚度的影响,计算得到相对位移与垂向刚度力之间的运动规律.仿生缓冲器的初始结构参数如表1所示.

表1 初始结构参数
Tab.1 Initial structure parameters

设备质量kg连杆长度mm连杆安装角度(°)刚度系数(N·m-1)阻尼系数(N·s·m-1)弹簧阻尼系统长度mm100100451×1066700400

在仿生缓冲器其它初始结构参数不变的条件下,系统不同连杆长度下的等效刚度曲线如图4所示,系统不同连杆安装角度下的等效刚度曲线如图5所示.

图4 杆长对等效刚度的影响
Fig.4 Influence of rod length on equivalent stiffness

图5 安装角度对等效刚度的影响
Fig.5 Influence of installation angle on equivalent stiffness

由图4、5可以看出,随着相对位移的增大,垂向刚度力的增大速度越来越快,仿生缓冲器的等效刚度越来越大,即呈现刚度硬化的特性.随着连杆长度的减小和连杆安装角度的增大,等效刚度的非线性越明显.因此,仿生缓冲器的非线性刚度受系统结构参数的影响.

2 与经典缓冲器结构的对比

该仿生缓冲器通过调整弹簧阻尼系统的安装位置来降低缓冲系统中设备的高度.选取两个长度相等的弹簧阻尼系统,将其分别放在经典缓冲器和仿生缓冲器中,通过调整连杆的长度以及连杆安装角度可以使设备的高度降低,仿生缓冲器与经典缓冲器结构的对比如图6所示,图中H1=H2.

图6 结构对比
Fig.6 Comparison of structures

由图3、6可以看出,仿生缓冲器中设备的高度d与连杆长度l、连杆安装角度θ之间的关系表达式为

d=2lsin θ

(18)

由式(18)可知,仿生缓冲器中设备的高度随连杆长度、连杆安装角度的减小而减小.在仿生缓冲器初始结构参数条件下,与经典缓冲器相比,仿生缓冲器使系统中设备的高度降低了64.65%.

3 冲击响应计算及分析

通过Lagrange法和泰勒公式得到式(17)简化的系统动力学方程,再利用四阶龙格库塔法计算其冲击响应.对于冲击激励,根据德国军标BV043-85定义的正负双半正弦波信号对缓冲器基础施加冲击输入.将仿生缓冲器与经典缓冲器的抗冲击性能进行对比.设两个系统的基础遭受正波峰值125.6g,负波峰值31.4g,正波脉宽为5 ms,负波脉宽为20 ms的正负双半正弦波加速度冲击,加载的冲击载荷波形如图7所示.

图7 冲击载荷
Fig.7 Impact load

将仿生缓冲器与经典缓冲器的刚度系数和阻尼系数分别设置为1×106 N/m、6 700 N·s/m.经过仿真计算可知,仿生缓器的连杆安装角度越大,系统的相对位移幅值越小,但是考虑到安装角度越大,设备的高度会增大,综合考虑将连杆安装角度θ设置为60°,得到仿生缓冲器与经典缓冲器的相对位移响应对比曲线和加速度响应对比曲线,如图8、9所示.

图8 相对位移响应曲线
Fig.8 Relative displacement response curves

图9 加速度响应曲线
Fig.9 Acceleration response curves

为评价仿生缓冲器的抗冲击性能,需要计算其相对于经典缓冲器的峰值降低率.系统的相对位移峰值降低率为

(19)

式中:u1为经典缓冲器的相对位移峰值;u2为仿生缓冲器相对位移峰值.

系统的加速度峰值降低率为

(20)

式中:为经典缓冲器的加速度峰值;为仿生缓冲器的加速度峰值.

由图8、9可以看出,两种缓冲器的相对位移峰值和加速度峰值都呈现衰减趋势,所以仅考虑最大峰值的变化量.经典缓冲器的最大峰值为21.245 mm,出现在0.012 3 s;仿生缓冲器的相对位移最大峰值为16.243 mm,出现在0.011 2 s.由式(19)计算得:系统的相对位移最大峰值降低了23.54%.

经典缓冲器的加速度最大峰值为112.26g,出现在0.002 3 s;仿生缓冲器的加速度最大峰值为103.41g,出现在0.002 1 s.由式(20)计算得:系统的加速度最大峰值降低了7.88%.与经典缓冲器相比,在仿生缓冲器连杆安装角度为60°时,系统的相对位移峰值和加速度峰值都有所降低,所以仿生缓冲器具有更好的抗冲击性能.

4 结 论

通过上述分析可以得到如下结论:

1) 仿生缓冲器的等效刚度呈非线性特性.随着相对位移的增大,垂向刚度力的增大速度越来越快,仿生缓冲器的等效刚度越来越大,呈现出刚度硬化特性.在其它参数一定的情况下,随着连杆长度的降低和连杆安装角度的增大,仿生缓冲器等效刚度的非线性越明显.

2) 与经典缓冲器相比,仿生缓冲器能有效降低设备的高度.当仿生缓冲器的连杆安装角度为60°时,仿生缓冲器具有更好的抗冲击性能.

参考文献(References):

[1] 王力航,郭菲,卢文娟,等.3UPS/S舰船稳定平台非惯性系动力学建模 [J].机械工程学报,2020,56(1):20-29.

(WANG Li-hang,GUO Fei,LU Wen-juan,et al.Non-inertial system dynamic modeling of 3UPS/S ship sta-bility platform [J].Journal of Mechanical Engineering,2020,56(1):20-29.)

[2] 闫明,田浩男,刘海超.孔隙式隔振系统非线性阻尼特性 [J].沈阳工业大学学报,2020,42(6):648-653.

(YAN Ming,TIAN Hao-nan,LIU Hai-chao.Nonlinear damping characteristics of pore-type vibration isolation system [J].Journal of Shenyang University of Techno-logy,2020,42(6):648-653.)

[3] 张春辉,曾泽璀,张磊,等.预紧式准零刚度隔冲器的隔冲性能研究 [J].振动工程学报,2019,32(5):767-777.

(ZHANG Chun-hui,ZENG Ze-cui,ZHANG Lei,et al.Research on the shock isolation performance of preload quasi-zero-stiffness isolator [J].Journal of Vibration Engineering,2019,32(5):767-777.)

[4] 高鹏,闫明,温肇东,等.八连杆抗冲击隔离器设计与性能分析 [J].振动与冲击,2019,38(9):231-237.

(GAO Peng,YAN Ming,WEN Zhao-dong,et al.Design and performance analysis for a 8-link shock isolator [J].Journal of Vibration and Shock,2019,38(9):231-237.)

[5] 闫明,刘栋,张磊,等.舰艇电气设备中簧片式触点开关冲击响应分析 [J].振动与冲击,2016,35(1):183-187.

(YAN Ming,LIU Dong,ZHANG Lei,et al.Shock response analysis for reed contact switches in naval ships’ electrical equipment [J].Journal of Vibration and Shock,2016,35(1):183-187.)

[6] Wu Z J,Jing X J,Bian J,et al.Vibration isolation by exploring bio-inspired structural nonlinearity [J].Bioinspiration & Biomimetics,2015,10(5):1-22.

[7] Dai H H,Cao X Y,Jing X J,et al.Bio-inspired anti-impact manipulator for capturing non-cooperative spacecraft:theory and experiment [J].Mechanical Systems and Signal Processing,2020,142:1-16.

[8] Hu F Z,Jing X J.A 6-DOF passive vibration isolator based on Stewart structure with X-shaped legs [J].Nonlinear Dynamics,2018,91(1):157-185.

[9] Wang Y,Jing X J.Nonlinear stiffness and dynamical response characteristics of an asymmetric X-shaped structure [J].Mechanical Systems and Signal Processing,2019,125:142-169.

[10] Sun X T,Jing X J,Xu J,et al.Vibration isolation via a scissor-like structured platform [J].Journal of Sound and Vibration,2014,333(9):2404-2420.

[11] Feng X,Jing X J,Xu Z D,et al.Bio-inspired anti-vibration with nonlinear inertia coupling [J].Mechani-cal Systems and Signal Processing,2019,124:562-595.

[12] 王鑫,岳晓奎,代洪华,等.在轨服务中的仿生抗冲击结构研究 [J].宇航学报,2020,41(8):1000-1007.

(WANG Xin,YUE Xiao-kui,DAI Hong-hua,et al.Research on bio-inspired anti-impact structure in on-orbit servicing [J].Journal of Astronautics,2020,41(8):1000-1007.)

Analysis of equivalent stiffness and impact resistance of bionic buffer

SUN Zi-qiang, LIU Chuan, JIN Ying-li, YAN Ming

(School of Mechanical Engineering, Shenyang University of Technology, Shenyang 110870, China)

Abstract In order to improve the impact resistance of ship equipment, the bionic structure was applied to buffer. The principle model of the buffer based on bionic structure was established, and the dynamic equation of buffer system was established by using Lagrange method, which was simplified by Taylor formula to discuss its stiffness characteristics. The 4-order Runge-Kutta integration algorithm was used to perform the impact simulation calculation, and the impact resistance of the system with a connecting rod installation angle of 60° was analyzed. The results show that the equivalent stiffness of bionic buffer is nonlinear, it increases with the increasing relative displacement to show stiffness hardening characteristics. Under certain conditions, with the decrease of connecting rod length and the increase of connecting rod installation angle, the nonlinearity of equivalent stiffness becomes more obvious. Compared with the classic buffer, the bionic buffer can effectively reduce the height of equipment, and has better impact resistance.

Key words bionic structure; buffer; Lagrange method; Taylor formula; Runge-Kutta; equivalent stiffness; stiffness hardening; impact resistance

中图分类号: TH 122

文献标志码: A

文章编号: 1000-1646(2022)05-0536-05

收稿日期 2021-11-02.

基金项目 国防科技创新特区项目(20-163-00-TS-006-002-01).

作者简介 孙自强(1977-),男,辽宁沈阳人,讲师,博士,主要从事振动冲击控制与故障诊断等方面的研究.

doi:10.7688/j.issn.1000-1646.2022.05.10

(责任编辑:景 勇 英文审校:尹淑英)