基于数据驱动的无线传感器网络拥塞控制

杨美艳

(天津科技大学 人工智能学院, 天津 300457)

摘 要: 为解决当前无线传感器网络拥塞问题,加快数据传输速度,提出基于数据驱动的无线传感器网络拥塞控制方法.通过传输节点被动监察附近节点传输的数据帧,量化节点活跃度判断附近节点是否存在拥塞问题,基于离散指数趋近率控制的抖振分析结果设计自适应离散滑模拥塞控制器,针对存在拥塞问题的节点,采用数据驱动技术根据节点间关联性设计无线传感器网络拥塞控制策略.测试结果表明,相比传统的控制方法,本文方法能降低节点内数据队列长度的波动性,提升单位时间内数据传输量,节点信道拥塞标记率具有一致性,控制在4.5%左右,其响应时间控制在100 ms左右,具有良好的控制性能.

关 键 词: 数据驱动; 无线传感器网络; 网络拥塞控制; 被动监察; 节点关联性; 数据帧; 队列长度; 拥塞控制器

无线传感器网络(WSNs)具有规模大、动态性强、自组织网络的特性[1],是当前普遍使用的主要网络结构之一.随着WSNs应用范围的扩展以及应用率的提升,网络负担急速提升.由于WSNs内包含大量节点,各节点缓存资源受限[2],且网络整体带宽较小,结合WSNs网络独特的多对一通信模式,极易造成数据帧堆积在节点缓冲区中,形成网络拥塞问题,导致数据包丢失以及网络吞吐量下降等问题[3],降低WSNs应用性能.因此,研究一种有效的WSNs拥塞控制方法具有重要意义.

当前相关领域专家所研究出来的拥塞控制方法大多以SDN(软件定义网络)数据中心网络为核心实现网络拥塞控制[4].WSNs拥塞在整体上可分为节点级拥塞与链路级拥塞两种类型,前种拥塞描述的是节点发生的流量信息高于自身能力,造成缓存过量与数据丢失等问题;后种拥塞描述的是若干个节点通过使用一个无线信道时,由访问冲突形成的链路利用率与吞吐量下降等问题[5].以SDN数据中心网络为核心的控制方法只考虑节点拥塞的控制,对链路拥塞的控制效果并不显著.

基于计算机科学的数据驱动控制是一种全新的控制理念[6],是控制器控制设计过程中忽略数学模型信息,仅考虑受控系统离线与在线I/O数据与数据处理所得信息,同时基于相应的假定条件实现的一种有效的控制方法[7].针对WSNs节点与链路的双重拥塞问题,将数据驱动控制理念应用其中,提出基于数据驱动的WSNs拥塞控制方法,实现MAC层与数传层相结合的跨层拥塞控制.

1 无线传感器网络拥塞控制方法

1.1 基于数据帧监察的WSNs拥塞判断

在WSNs内监察到附近节点传输数据时,利用被动监察的方式判断WSNs拥塞情况[8].以传输节点A为例进行说明,在其正常传输数据帧功能的基础上,具有被动监察附近节点传输数据帧的功能,可确定这些数据帧的传输节点地址,判断传输节点的活跃度,以此确定节点的拥塞情况,详细过程描述如下:

1) 传输节点A正常传输数据,同时监察附近节点传输的数据帧,分析其数据帧的传输节点地址.MB(A)表示Ts时间内节点A监察到某节点传输数据帧的数量,在设定时间Ts内,每确定节点B输出的数据帧,则MB(A)值加1.

2) {MB[1],MB[2],…,MB[n]}表示节点A监察的最近nTs时间内节点B传输数据帧的数量,确定{MB[1],MB[2],…,MB[n]}均值为其中,MB[1]为最近一个Ts时间内数据帧分析结果,n为统计窗口数量.

3) 节点A利用式(1)确定最近一个Ts时间内监察到的附近节点传输数据帧次数均值为

(1)

式中,m为数据帧传输节点数量整体值.

4) 由于WSNs内节点拥塞的主要原因为网络状态的不间断性与其他节点对拥塞问题的处理能力[9],因此,分别分析节点与自身历史状态相比的活跃度ξhB(A)和与其他节点相比的活跃度ξrB(A),其表达式为

(2)

(3)

5) 对ξhB(A)ξrB(A)实施归一化处理,通过式(4)表示利用节点A判断的节点B拥堵度量化值φB(A),即

(4)

φB(A)值大于1的条件下,可定义节点B未处于拥塞状态;在φB(A)值小于1的条件下,可定义节点B处于拥塞状态,且其值越小,说明节点拥塞状态越严重[10].针对存在拥塞状态的节点,利用离散滑模拥塞控制器进行拥塞控制.

1.2 离散滑模拥塞控制器设计

1.2.1 离散指数趋近率

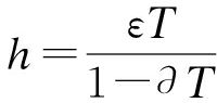
离散指数趋近率s(k)计算公式为

ps(k)

(5)

式中:ε为影响控制器抖动的参数;T为采样周期;∂为待设计的常数.表示滑模运动的稳态振荡幅度,由式(5)可知,在ε值与T值充分小的条件下,才能确保|s(k)|值较小.

1.2.2 自适应离散滑模控制器设计

由于WSNs具有显著的复杂性与时变性[11],因此,在设计控制器完成其拥塞控制过程中引入滑模控制理论.为了确保达到滑动模面上的滑模运行趋于平稳[12],令路由器的队列长度达到期望值标准,控制器离散滑模面可表示为

s(k)=Le(k)

(6)

式中:L为0~1之间的值;e(k)为误差.

根据霍尔维兹多项式标准的定义,判断其是否符合霍尔维兹多项式标准[13].在WSNs处于一阶状态时,L值为0,预期误差为

e(k)=Xd-X(k)

(7)

式中,XdX(k)分别为预期输出与实际输出.

二阶离散WSNs状态方程为

X(k+1)=aX(k)+bU(k)

(8)

式中:U(k)为节点在k时刻的离散滑模控制律;ab为常数项.

仅在的条件下,其中,λ为系统待定控制参数,s(k)值能够处于递减状态,由此要求也就是ε值须小于T)|s(k)|,令设定滑模变结构可控条件CB≠0成立,其中,CBn阶矩阵,由此得到离散滑模控制率为

(9)

1.3 基于数据驱动的控制策略

针对离散滑模拥塞控制器,根据节点间的关联性设计基于数据驱动的控制策略[14].若WSNs内两个不同节点传输的数据帧同时占用同一信道(即链路拥塞),参考数据驱动理论,依照优先传输节点输出流量小的数据帧,输出流量相对较大的数据帧就近选取其他信道进行传输.

1.3.1 节点独立

在WSNs内节点间不存在关联的条件下,节点的输出可描述为

(10)

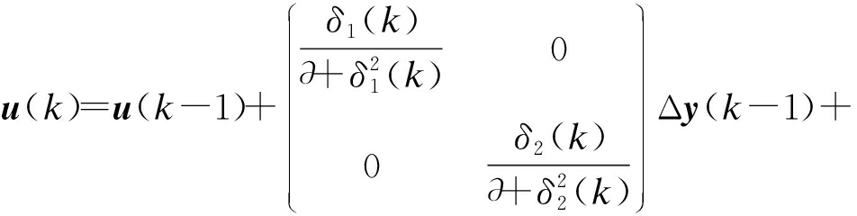
式中:X(k+1)=(X1(k+1),X2(k+1))T;Δu(k)=(u1(k)-u1(k-1),u2(k)-u2(k-1));δ1(k)与δ2(k)为WSNs的伪偏导数.

在此条件下,令WSNs输出与预期输出一致,离散滑模拥塞控制器控制策略为

(11)

式中,

在式(11)的控制策略下能够实现WSNs实际输出与预期输出的跟踪,使曲线传感器网络达到平稳状态,不会形成拥塞问题.

1.3.2 节点关联

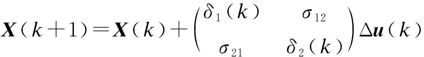
在WSNs内节点间存在关联的条件下,节点的输出可描述为

(12)

式中:σ12σ21为常数;δ1(k)δ2(k)≠σ12σ21.在此条件下,令WSNs输出与预期输出一致,离散滑模拥塞控制器控制策略为

(13)

式中,

在上述控制策略下,WSNs不会产生节点级与链路级拥塞.

2 仿真测试结果与分析

2.1 测试对象

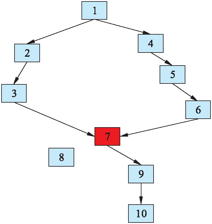
为了验证基于数据驱动的WSNs拥塞控制方法的应用效果,以图1中的WSNs结构为测试对象,针对瓶颈节点7,利用本文方法与传统方法对其进行拥塞控制,验证本文方法的应用效果.

图1 测试对象拓扑结构
Fig.1 Test object topology

2.2 节点内队列长度

图2为测试对象节点7内数据队列在240 s内的波动情况.分析可知,采用本文方法进行拥塞控制前,该节点内数据队列长波波动较为显著,说明该节点的运行处于不稳定状态;采用传统方法进行拥塞控制后,节点内数据队列长度波动有所改善,但该节点运行仍处于不稳定状态;采用本文方法进行拥塞控制后,节点内数据队列长度波动平缓,说明该节点处于稳定运行状态.由此可知,采用本文方法进行节点拥塞控制更能降低节点内数据队列长度的波动性,令节点正常运行.

图2 节点队列变化
Fig.2 Node queue variation

2.3 吞吐量

图3为采用本文方法控制前后,测试对象节点7的数据吞吐量变化情况.采用本文方法控制节点拥塞情况后测试对象节点的吞吐量与采用本文方法前及经传统方法控制后相比均显著提升,采用本文方法进行测试对象节点拥塞控制更能显著提升节点的数据传输能力.这是由于采用本文方法进行节点拥塞控制后,数据传输的窗口尺寸提升,因此,单位时间内数据传输量提升.

图3 吞吐量变化
Fig.3 Throughput variation

2.4 节点信道拥塞标记率

图4为采用本文方法进行节点信道拥塞控制前后,节点信道拥塞标记概率的变化情况.由图4可知,未采用任何方法进行节点拥塞控制前,在节点信道拥塞条件下,其余节点受网络整体状态影响显著,因此节点数据传输信道被标记的概率具有显著的随机性与概率性.采用传统方法进行节点拥塞控制后,节点数据传输信道被标记的概率的随机性与概率性有所改善,但效果并不理想.采用本文方法进行节点拥塞控制后,节点数据传输信道被标记的概率具有较强一致性,拥塞控制概率约为4.5%,优于传统方法,这是由于采用本文方法控制后,节点拥塞现象被有效解决,其余节点不受该节点拥塞问题影响,没有被标记,因此,测试对象内节点数据传输信道被标记的概率具有较强一致性.

图4 节点信道拥塞标记率变化
Fig.4 Mark rate variation of node channel congestion

2.5 控制器自适应律曲线

图5为本文方法中控制器的滑模自适应律曲线.由图5可知,相比传统方法,本文方法设计的控制器能更好地跟踪目标值,响应时间更快,可控制在100 ms左右,并且不存在显著抖动,能较好地实现测试目标拥塞控制.

图5 滑模自适应律曲线
Fig.5 Curves of sliding mode adaptive law

3 结 论

随着WSNs应用范围的扩展,人们对WSNs的应用性能提出更高要求.网络拥塞是WSNs应用过程中普遍存在的问题,因此针对该问题的解决方案研究极为重要.本文研究基于数据驱动的WSNs拥塞控制方法,以此解决WSNs内节点与链路的拥塞问题.测试结果显示,本文方法可有效降低节点内数据队列长度的波动性,提升单位时间内数据传输量,使节点信道拥塞标记率控制在4.5%左右,具有一致性,响应时间控制在100 ms左右,可显著提升WSNs的应用性能.

参考文献(References):

[1] 张维,赵亮.基于加权质心算法的无线网络节点定位方法 [J].沈阳工业大学学报,2020,42(5):545-548.

(ZHANG Wei,ZHAO Liang.Node localization method for wireless sensor network based on weighted-centroid-algorithm [J].Journal of Shenyang University of Technology,2020,42(5):545-548.)

[2] 关世杰,姜月秋,关启学,等.基于正向时延的卫星网络拥塞控制算法研究 [J].兵工学报,2018,39(5):945-951.

(GUAN Shi-jie,JIANG Yue-qiu,GUAN Qi-xue,et al.Research on congestion control algorithm of sa-tellite network based on forword direction delay [J].Acta Armamentarii,2018,39(5):945-951.)

[3] 杨楠,叶迪,林杰,等.基于数据驱动具有自我学习能力的机组组合智能决策方法研究 [J].中国电机工程学报,2019,39(10):2934-2946.

(YANG Nan,YE Di,LIN Jie,et al.Research on data-driven intelligent security-constrained unit commitment dispatching method with self-learning ability [J].Proceedings of the CSEE,2019,39(10):2934-2946.)

[4] 朱丹红,林清祥,张栋.基于SDN数据中心网络的时限感知的拥塞控制算法 [J].计算机工程与应用,2018,54(3):68-73.

(ZHU Dan-hong,LIN Qing-xiang,ZHANG Dong.Deadline-aware of congestion control algorithm based on SDN data center network [J].Computer Engineering and Applications,2018,54(3):68-73.)

[5] Yang X P,Chen X Y,Xia R T,et al.Wireless sensor network congestion control based on standard particle swarm optimization and single neuron PID [J].Sensors (Basel,Switzerland),2018,18(4):1265.

[6] 连文博,刘伯鸿,李婉婉.基于数据驱动的高速列车广义预测控制器的性能监控 [J].铁道科学与工程学报,2019,16(10):2402-2406.

(LIAN Wen-bo,LIU Bo-hong,LI Wan-wan.Perfor-mance monitoring of generalized predictive controller for high-speed train based on data-driven [J].Journal of Railway Science and Engineering,2019,16(10):2402-2406.)

[7] 刘强.基于后向散射和软件定义的无线传感器网络通信 [J].电子测量与仪器学报,2020,34(6):41-47.

(LIU Qiang.Wireless sensor network communication based on backscattering and software definition [J].Journal of Electronic Measurement and Instrumentation,2020,34(6):41-47.)

[8] 李成铁,汪晋宽,李明维.基于压缩感知的无线传感器网络数据传输跨层优化算法 [J].控制与决策,2019,34(9):2031-2035.

(LI Cheng-tie,WANG Jin-kuan,LI Ming-wei.Data transmission cross-layer optimization of wireless sensor networks based on compressive sensing [J].Control and Decision,2019,34(9):2031-2035.)

[9] 丰杰华,官星辰,马鲁宁,等.基于数据驱动的CSTR自适应准滑模控制 [J].控制工程,2020,27(8):1305-1309.

(FENG Jie-hua,GUAN Xing-chen,MA Lu-ning,et al.Data-driven based adaptive sliding mode like control for CSTR [J].Control Engineering of China,2020,27(8):1305-1309.)

[10] Aimtongkham P,Heng S,Horkaew P,et al.Fuzzy logic rate adjustment controls using a circuit breaker for persistent congestion in wireless sensor networks [J].Wireless Networks,2020,26(5):3603-3627.

[11] 陆赛杰,李云骥,彭力.网络丢包环境中基于新息驱动的远程状态估计传输策略设计 [J].传感技术学报,2018,31(5):759-765.

(LU Sai-jie,LI Yun-ji,PENG Li.Design of an innovation-triggered data transmission strategy for remote state estimation over packet-dropping networks [J].Chinese Journal of Sensors and Actuators,2018,31(5):759-765.)

[12] 张永成,余群舟,骆汉宾,等.基于数据驱动的模板支撑架质量控制关键项目选择研究 [J].施工技术,2018,47(2):63-68.

(ZHANG Yong-cheng,YU Qun-zhou,LUO Han-bin,et al.Selection of key items for quality control based on data driven in formwork-support construction [J].Construction Technology,2018,47(2):63-68.)

[13] 陈梦婷,田茂,陈小莉,等.基于卫星延迟容忍网络的拥塞控制机制研究 [J].小型微型计算机系统,2020,41(5):1059-1064.

(CHEN Meng-ting,TIAN Mao,CHEN Xiao-li,et al.Research on congestion control mechanism based on satellite delay tolerant network [J].Journal of Chinese Computer Systems,2020,41(5):1059-1064.)

[14] 邵美阳,吴俊勇,石琛,等.基于数据驱动和深度置信网络的配电网无功优化 [J].电网技术,2019,43(6):1874-1885.

(SHAO Mei-yang,WU Jun-yong,SHI Chen,et al.Reactive power optimization of distribution network based on data driven and deep belief network [J].Power System Technology,2019,43(6):1874-1885.)

Congestion control of wireless sensor networks based on data driving

YANG Mei-yan

(College of Artificial Intelligence, Tianjin University of Science & Technology, Tianjin 300457, China)

Abstract In order to solve the current congestion problem of wireless sensor networks and speed up data transmission, a congestion control method for wireless sensor networks based on data driving was proposed. Data frames transmitted by nearby nodes were passively supervised, the activity of nodes was quantified to determine whether there were congestion problems in nearby nodes, and an adaptive discrete sliding mode congestion controller was designed according to the chattering analysis results, which was controlled by discrete exponential convergence rate. A data driving technology was used to design a control strategy for wireless sensor network congestion based on the relevance among nodes. The test results show that the as-proposed method can reduce the fluctuation of data queue length within nodes and improve the data transmission per unit time, compared with traditional control methods. The mark rates of node channel congestion are consistent and controlled at about 4.5%, and its response time is controlled at about 100 ms, showing favorable control performance.

Key words data driving; wireless sensor network; network congestion control; passive supervision; node relevance; data frame; queue length; congestion controller

中图分类号: TP 393

文献标志码: A

文章编号: 1000-1646(2022)05-0570-05

收稿日期 2021-07-08.

基金项目 国家自然科学基金项目(61976156).

作者简介 杨美艳(1979-),女,陕西兴平人,讲师,硕士,主要从事大数据分析及应用、教学模式及方法等方面的研究.

doi:10.7688/j.issn.1000-1646.2022.05.16

(责任编辑:钟 媛 英文审校:尹淑英)