【管理与实务】

高校科技创新能力对地区经济增长贡献率研究 *
——以辽宁省为例

王 青 1, 潘 桔 2
(1. 辽宁大学 经济学院, 沈阳 110036; 2. 沈阳大学 经济学院, 沈阳 110044)

摘 要:在当今的知识经济时代,高等院校已经成为推动科学技术进步的重要力量,必然会对地区经济发展作出重要贡献。采用因子分析方法分析高校科技创新能力,建立计量经济模型,对高校科技创新能力对地区经济增长的贡献率进行研究。结果表明,高校科技创新能力同资金和人力资本相比,对地区经济的发展影响程度相当,且促进作用不断增强。因此,实现辽宁经济振兴和可持续发展,需要不断增强高校科技的创新能力及其对经济增长的拉动作用。

关 键 词:高校; 科技创新; 因子分析; 时间序列; 经济増长; 贡献率

在当今的知识经济时代,科学技术的发展关系到一个地区乃至国家的繁荣,是发展本国经济、提升国际竞争力的重要影响因素,也是经济发展的核心动力。内生增长理论认为,科学技术进步是保证经济持续增长的决定因素,其他因素只能促进经济的短期增长,一旦科技发展达到稳态,则经济增长速度将为零 [1]。在我国的科技体系中,高等院校的科研力量占有重要地位,高校科技创新能力的强弱对地区经济的发展存在着一定的影响。研究高等院校对地区经济发展的贡献率并对其进行定量测算,对高校科技创新能力的提升和区域经济发展都具有重要作用。

科学技术在经济增长中的贡献率问题早在20世纪80年代就得到了众多经济学家的关注。近些年,国内学者对科技进步及高校科技对地区经济发展的贡献率做了许多研究。刘文艳等(2014)引入势效系数用来说明要素发挥的效能,在此基础上建立了结构生产函数,以回归模型为基础,测算了河北省1990—2012年的科技进步贡献率,并对结果进行了深入分析,提出了针对性的经济调控思路 [2]。李兰兰等(2011)按照科技进步水平对中国31个省市进行软分类,利用所得隶属度和贡献率求得各个省市的科技进步贡献率,从而得出需注重科技发展水平的结论 [3]。韩雪峰等(2014)从科技投入资金流向的角度入手,估算出全要素生产率,利用动态分析与回归分析等方法,对1998—2010年辽宁省高校科技对区域经济增长的贡献与影响进行了具体的测算,得出了高校的研发资金支出效率远高于其他科研机构平均水平的结论 [4]。肖宁(2010)运用探索性和验证性因子分析相结合的方法,以高校科研经费支出为因变量,测算出湖南省高校科研经费每多投入1%,能够使地区经济增长6.22% [5]。陈运平(2007)构建了江西省高校科技创新对经济增长贡献的理论与实证模型,借用劳动简化法的思想,把高校科技创新的贡献份额从整个社会的科技创新中分离出来 [6]。研究发现,当前关于高校科技对地区经济发展贡献率的文献大多从高校科研经费的角度进行分析,直接研究的并不多,定量研究更少。

由于高等院校作为我国科技体系的重要组成部分,其对地区经济发展的贡献率也包含在全要素生产率中。在充分研究现有成果的基础上,本文运用因子分析方法计算出高校科技创新能力得分情况,作为衡量高校创新能力的标准,将高校科技创新能力对地区经济发展的贡献率从全要素生产率中分离出来,运用扩展的柯布 道格拉斯生产函数模型以及相应的经济计量方法,将相关参数测算出来,从而对高校科技对区域经济发展的贡献率进行研究。

一、理论模型

1. 生产函数

在测算科技对经济增长的贡献率时,国内外学者大多会采用柯布 道格拉斯生产函数或建立增长速度方程的方法对全要素生产率进行研究。全要素生产率为产出增长率中除去所有有形投入(资金、人力等)所引起的经济增长之后的剩余部分,是衡量科技对经济作用的重要指标 [7],通常科技进步对生产的贡献率即被认为是全要素增长率。假设总量生产函数为

(1)

式中: Y t t期实际产出; A为除高校科技水平之外的社会科技水平; K t t期资金投入; L t t期劳动力投入; U t t期高校科技创新能力得分; αβ分别为资本和劳动力的投入产出弹性; γ为高校科技创新能力的绝对变化量导致经济的相对变化量。

对式(1)两边取自然对数,得

ln Y t =ln A+ αln K t + βln L t + γU t

(2)

根据式(2)对参数 αβγ的数值进行估计,可以得到资金、劳动力投入每增加1%,对地区经济增长的贡献分别增加 α%和 β%,高校科技创新能力得分每增加1分,地区经济发展平均增加 γ,从而进一步得到高校科技创新能力对地区经济发展的影响状况。

2. 数据来源及说明

本文数据主要来自历年《中国统计年鉴》《中国科技统计年鉴》《辽宁省统计年鉴》《辽宁科技统计年鉴》以及《高等学校科技统计资料汇编》,个别数据来自辽宁省经济普查数据公报,数据时间跨度为2001—2014年。变量选取具体为:

(1) 国内生产总产值( Y),采用辽宁省国内生产总值GDP,以2001年数据为基期,剔除物价因素对测算结果的影响后所得的数据。

(2) 资产总额( K),由于《辽宁省统计年鉴》中没有针对2001—2014年资产总额的统计值,而有各年的新增固定资产统计值,所以采用对各年新增流动资产及资产总额进行估算的方法。假设在短期内新增固定资产和流动资产的比例大致不变,根据2004年和2008年第一、二次辽宁经济普查数据可以得到这两年资产总额和新增固定资产的数据,估算出新增固定资产和流动资产的比例为1∶1.731 [4],进而根据2001—2014年各年的新增固定资产数值估算出其新增流动资产数值,最终估算出2001—2014年各年的资产总额。与国内生产总值数据相似,以2001年数据为基期,剔除物价因素影响,得到相应数据。

(3) 劳动力( L),采用辽宁省在岗职工数量。

(4) 高校科技创新能力得分( U),采用因子分析方法计算出来得分,并进行[0,1]区间上的转换。

二、高校科技创新能力水平的测度

1. 指标的选取

高校科技创新能力评价体系的形成是多种因素相互影响综合作用的结果,是一个复杂的、不断循环发展的系统 [7]。因此,在建立高校科技创新能力评价体系时,必须着眼于科技活动的完整过程,既要考虑现有的科研基础,又要考虑未来的潜在发展能力,同时还要考察科研方面的实力和服务地方的社会功能 [8]。根据高校科技创新能力的内涵和建立评价指标体系的基本原则,参考国内许多专家学者提出的高校创新能力评价指标体系的建立方法 [9],综合考虑上述影响高校科技能力的因素及数据的可得性,经过试算,本文最终选取了科技活动人员数、科技活动人员全时当量、科研经费支出、科研项目数、发表论文数、出版著作数、申请专利数、专利出售数和获国家级以上奖励情况9个指标作为高校科技创新能力的评价指标,并进行了相关数据的收集。

2. 模型的构建

本文所建立的高校科技创新能力评价指标体系涉及到的变量众多,统计数据彼此之间有一定的相关性,而且反映的信息存在交叉性。为了建立相互独立的指标,减少信息重叠,使所建立的指标体系能够合理地量化分析高校科技创新能力,本文利用Spss 20.0采用因子分析的方法对指标体系中的9个变量进行分析。通过研究指标体系间的内在结构关系,将多个指标的问题转化为少数指标 [6],进一步利用数据分析得到的每个因子的权重计算出高校科技创新能力得分。

因子分析中数据的KMO值为0.797,表明收集的数据集适合进行因子分析。提取的两个成分解释的总方差和方差累计贡献率如表1所示。

根据提取的两个公因子各自的方差贡献率,可以计算得出各年度辽宁省高校科技创新能力的得分。计算过程中发现因子得分存在负数情况,不利于对高校科技创新能力对地区经济增长贡献率的讨论,为了数据处理的方便,将各年度得分转化为0~1之间的数据,输出结果如表2所示。

表1 两个成分解释的总方差

成分提取平方和载入合计方差占比/%累计占比/%旋转平方和载入合计方差占比/%累计占比/%17.03678.18278.1825.04656.06356.06321.07511.94590.1273.06634.06490.127

表2 2001—2014年辽宁省高校科技创新能力得分

年份成分1成分2因子得分换算后得分2001-0.33853-2.26260-1.065728100.0000002002-0.43653-1.63760-0.890463800.0813422003-0.66852-0.60420-0.644198700.1956372004-1.373060.36154-0.717461400.1616352005-1.418880.89701-0.543580700.2423352006-1.218291.04662-0.362258800.3264882007-0.637500.57458-0.179389800.4113602008-0.012640.094610.027895540.50756320091.06906-0.552300.456249570.70636720100.64683-0.034100.389466170.67537220111.21426-0.252700.659824520.80084920121.121730.412080.853515120.89074320130.854061.047570.927197830.92494020141.198000.909411.088926331.000000

将表2中2001—2014年各年度辽宁省高校科技创新能力得分绘制在折线图中,如图1所示。由图1可知,辽宁省高校科技创新能力得分在2004年和2010年存在小幅下降的情况,但总体上随年度变化呈上升趋势。

图1 2001—2014年辽宁省高校科技创新能力得分

三、实证分析

将表2中辽宁省高校科技创新能力得分与2001—2014年间处理后的辽宁省国内生产总值、资产总额、在岗职工人数等数据代入模型中,利用Eviews软件进行回归分析,得到模型中参数 αβγ的值。

考虑到通货膨胀对国内生产总值的影响,将辽宁省国内生产总值、固定资产总额进行以2001年数据为基期的处理,处理后的数据如表3所示。

表3 2001—2014年辽宁省GDP、资产总额及基期处理后数据

年份GDP亿元资产总额亿元在岗职工人数万人GDP价格处理资产总额价格处理20015033.12880.8254479.9560100.0000100.000020025458.23434.5602480.2130108.4461119.221420036002.54156.9643483.1108119.2605144.297720046672.05421.6904464.1710132.5624188.199220058047.37823.6049459.7711159.8875271.575120069304.59270.3795458.3965184.8662321.7960200711164.312018.8033455.6178221.8176417.2000200813668.616625.2356468.3780271.5742577.0997200915212.520505.9866469.2761302.2491711.8094201018457.327720.7424493.4115366.7183962.2500201122226.727504.4472557.1577441.6105954.7419201224846.435988.2987572.3311493.66001249.2357201327213.241046.3838648.1415540.68471424.8133201428626.647778.2988626.8735568.76681658.4934

1. 序列的平稳性检验

为避免构建的计量经济模型出现伪回归现象,对ln Y、ln K、ln LU进行时间序列的平稳性检验,结果如表4所示。

表4 单位根检验结果

变量检验类型(c,t,n)ADF值结论lnY(c,t,2)-5.893549平稳lnK(c,t,2)-3.523267平稳lnL(c,t,2)-6.473334平稳U(c,t,2)-5.081861平稳

结果表明,在5%的显著性水平下,上述四组数据都是二阶单整时间序列,通过了单位根检验。由时间序列相关理论可知,对于同阶单整的时间序列可以采用普通最小二乘法建立线性回归模型进行研究。

2. Eviews回归结果

首先,利用Eviews 8.0软件中的OLS回归程序对模型进行参数估计,发现序列存在自相关性,利用差分法消除了自相关性后,得到2001—2014年辽宁省GDP与资产总额、人力资本和高校科技创新能力之间的回归方程为

(3)

回归方程可决系数 .995,接近于1,说明回归方程整体拟合效果很好,对所研究问题具有很好的解释能力。

其次,对回归产生的残差序列进行检验,结果为ADF=-3.484,在1%的显著性水平下大于临界值-4.200,故拒绝残差序列存在单位根的原假设,可认为残差序列是平稳的。其平稳性说明时间序列ln Y、ln K、ln LU之间存在长期的均衡关系,也说明构建的回归模型具有很好的解释能力。

3. 各指标增长率的计算

根据上文中各年度数据,计算得出资产总额、就业人数和高校科技创新能力得分3个变量每年的增长率,其结果如表5所示。将各变量增长率用折线图表示,如图2所示。

由图2可知,高校科技创新能力得分年增长率变化较大,2004年较2003年有较大幅度的下降,2005年又上升,2010年有下降趋势,2011年以后增长率趋于平稳。

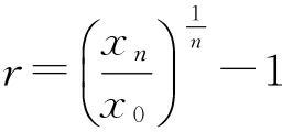
进一步地,可以计算出各变量的年平均增长率。年平均增长率是各种社会指标在较长时期内各时期平均增长程度的相对数。本文采用水平法对各指标的 n年平均增速进行计算,计算公式为

(4)

式中: r为年平均增长率; x 0为基期的数值; x n 为末期的数值。根据表2、3可以计算出各指标的年平均增长速度为 r GDP=13.2%, r K =22%, r L =1.9%, r U =21.4%。由结果可以看出,资产总额与高校科技创新能力得分年平均增速相差不大,就业人口增速相对较低。

表5 2002—2014年辽宁省资产总额、就业人口及高校科技创新能力得分增长率

年度资产总额增长率就业人口增长率高校科技创新能力得分增长率20020.19220.0005-20030.21030.00601.405120040.3042-0.0392-0.173820050.4430-0.00950.499320060.1849-0.00300.347320070.2965-0.00610.260020080.38330.02800.233920090.23340.00190.391720100.35180.0514-0.04392011-0.00780.12920.185820120.30850.02720.112220130.14050.13250.038420140.1640-0.03280.0812

图2 2002—2014年辽宁省资产总额、就业人口及高校科技创新能力得分增长率

四、结果分析

第一,由分析结果可以得到2001—2014年辽宁省GDP与资产总额、人力资本和高校科技创新能力之间的回归方程为

ln Y=-0.72+0.50ln K+0.48ln L+0.32 U

(5)

可见,资金投入增加1%,可使GDP增加0.5%;人力资本投入增加1%,可使GDP增长0.48%;而高校科技创新能力得分每增加1分,将使GDP增长32%。由于本文中定义的高校科技创新能力得分取值范围为0~1,故高校科技创新能力得分增加1分,相当于高校科技创新能力提高100%,即高校科技创新能力每提高1%,GDP将增长0.32%。从而可以看出,辽宁高校科技创新能力对于区域经济增长的贡献与资金、人力资本相比相差不大,高校科技创新能力对于区域经济的发展起到至关重要的作用。另外,资金要素与人力要素产出弹性之和为 α+ β=0.50+0.48=0.98,略小于1,从而可以看出辽宁省经济处于规模报酬基本不变的阶段,扩大规模生产对经济增长作用不大。因此,振兴辽宁老工业基地单纯依靠资金与人力的投入不会起到根本性促进作用。

第二,通过文中数据可以计算出各要素的年平均增长率。GDP年均增长率为13.2%,资产总额年均增长率为22%,人力资本年平均增长率为1.9%,高校科技创新能力得分年均增长率为21.4%。可见,资产总额与高校科技创新能力得分的年均增长率要高于GDP的增长率,且二者增速基本一致,而人力资本的年均增长率相对较低,辽宁省经济增长主要推动因素为资金投入与科技发展,并且高校科技的发展呈逐年上升趋势,辽宁省经济增长中高校科技的作用将逐渐增强。因此,要实现辽宁经济振兴和可持续发展,必须依靠科技进步,尤其是高校的科技创新,需要不断增强高校科技创新能力对经济增长的拉动作用。

第三,高校科技创新对地区经济发展的促进作用不是短期效应所能反映的,它是一个长期均衡的关系。要实现经济的可持续增长,唯一可行的途径就是依靠科学技术的进步 [10]。相关部门在制定高校科技投入政策时应把目光放长远。高校在制定相关评价制度时,也要将创新能力的这一特征作为一个重要因素加以考虑。

利用本文研究方法及所建立的模型,可以对我国其他省市地区高校科技贡献率进行研究,对得到的结论可以进行对比分析,进一步对地区与高校科技贡献率之间相互影响的关系进行研究。

参考文献:

[1]陈挺,陈建华.中国农业科技进步贡献率的测度及原因分析 [J].经济数学,2013(9):46-50.

[2]刘文艳,吕春燕,肖世恩.关于科技进步贡献率测算问题的探讨与分析:以河北省为例 [J].技术经济与管理研究,2014(7):51-55.

[3]李兰兰,诸克军,郭海湘.中国各省市科技进步贡献率测算的实证研究 [J].中国人口·资源与环境,2011,21(4):55-61.

[4]韩雪峰,金丽.高校科技对区域经济发展贡献率的实证分析 [J].大连理工大学学报(社会科学版),2014(1):98-104.

[5]肖宁.高校科技创新能力与区域经济发展实证研究 [D].长沙:长沙理工大学,2010.

[6]陈运平.高校科技创新体系、能力及其对经济增长的贡献研究:以江西省为例 [D].南昌:南昌大学,2007.

[7]蒋正明,张书凤,李国昊,等.我国科技人才对经济增长贡献率的实证研究 [J].统计与决策,2011(12):78-80.

[8]章熙春,马卫华,蒋兴华.高校科技创新能力评价体系建构及其分析 [J].科技管理研究,2010(13):79-83.

[9]耿迪.高校科技创新能力评价研究 [D].武汉:武汉理工大学,2013.

[10]张道海,何有世.江苏省技术进步贡献率的测算 [J].统计与决策,2006(2):83-85.

(责任编辑:张 璐)

Study on contribution rate of university science and technology innovation ability to regional economic growth: a case of Liaoning Province

WANG Qing 1, PAN Ju 2

(1. School of Economics, Liaoning University, Shenyang 110036, China; 2. School of Economics, Shenyang University, Shenyang 110044, China)

Abstract:In the era of knowledge economy, universities have been an important force in promoting the progress of science and technology, and definitely make an important contribution on the development of local economy. Using the factor analysis method, the science and technology innovation ability of university is analyzed, the econometric model is built, and the study on contribution rate of university science and technology innovation ability in local economic growth is carried out. The results show that comparing with capital and human capital influence on the development of local economy, the influence of university science and technology innovation ability is almost the same, and the promotion effect is continuously growing. Therefore, the university science and technology innovation ability and the driving effect of which on economic growth is needed to enhance continuously to realize the economic revitalization and sustainable development in Liaoning.

Key words:university; science and technology innovation; factor analysis; time series; economic growth; contribution rate

收稿日期:2016-10-18

基金项目:辽宁省“十二五”教育科学规划项目(JG15DB150); 辽宁省普通高等教育本科教学改革研究项目。

作者简介:王 青(1964-),女,辽宁沈阳人,教授,博士生导师,主要从事现代统计与宏观计量分析等方面的研究。

网络出版地址:14∶35在中国知网优先数字出版。

网络出版地址:http:∥www.cnki.net/kcms/detail/21.1558.C.20170330.1435.028.html

doi:10.7688/j.issn.1674-0823.2017.02.06

中图分类号:F 224

文献标志码:A

文章编号:1674-0823(2017)02-0129-05