基于顾客偏好的我国房地产库存问题分析*

肖 萌, 王 丹

(沈阳工业大学 管理学院, 沈阳 110870)

摘 要: 近几年,我国房地产库存过高已经成为一个亟待解决的问题。从顾客偏好角度,运用市场均衡理论建立单因素库存压力模型,分析房地产顾客预期价格对库存的影响,并在此基础上结合博弈理论建立三维博弈模型。根据博弈结果构建多因素库存压力模型,对房地产价格、质量、服务对房地产库存的影响展开研究,指出库存压力并不仅仅受房地产实际价格影响,也受顾客及开发商对房地产价格、质量、服务三个主要因素的预期及偏好影响。

关 键 词: 顾客偏好; 市场均衡; 房地产; 库存压力; 多维博弈

房地产一直是我国国民经济发展的一个基本生产要素,但2011年以来,我国房地产行业的发展暴露出很多问题,如价格泡沫化严重、区域化发展不平衡等。其中最为棘手的就是房地产高库存的问题,不仅阻碍了我国房地产市场的健康发展,也制约了我国市场经济的发展。房地产去库存将是我国房地产市场未来一段时期内发展的主旋律。在我国市场经济体制改革和房地产市场竞争激烈的宏观环境下,政府及房地产开发商如何在保证自身利益的情况下准确分析库存压力,开发商如何在政府政策的指导下吸引顾客、刺激消费,无疑是解决库存问题的关键所在。

一、文献综述

对房地产库存问题的研究,国内外学者讨论较多的是房地产价格。如Munneke等在研究房地产价格和资金流动性对房地产库存作用时提出,无论是探讨房地产销售还是房地产市场的泡沫化问题,都要先对房地产价格进行分析[1]。Soyeh等也在探讨如何鼓励消费者在房地产市场萧条时期作出投资时指出,当今学术界关注最多、最直接影响房地产市场的仍然是房地产价格[2]。除了对房地产价格的分析,近几年国内外学者还从其他角度对房地产库存的影响因素进行了研究,主要分为金融机制与房地产营销两个方面。

有关金融机制对房地产库存影响的研究,专家学者主要专注对金融政策和金融利率的分析。张协奎等建立了贷款利率与房地产库存相互联系的理论框架,利用VAR模型分析短期贷款利率、开发商国内银行贷款规模、广义货币市场供应量和国内商品房库存之间的相互作用[3]。周飞虎等从个人住房贷款利率水平、个人住房贷款不良率以及信息共享机制不健全等方面,分析了我国房地产去库存所面临的金融政策制约因素,结果显示房地产去库存离不开金融支持[4]。Amber研究了美元利率对美国房地产库存的影响,着重分析了美元利率如何影响青年消费群体对房地产的购买能力,指出政府应该为青年群体提供政策上的补贴与鼓励[5]。Zelas探讨了住房按揭贷款利率与房地产库存的关系,指出近几年连续增长的住房按揭贷款利率对房地产的有效去库存化存在阻碍作用,导致大多数普通消费者对房地产消费有一定的抵制情绪[6]。申博指出,房地产库存中积压性库存对于东、中部地区金融稳定性产生了明显的危害作用,而短期库存则相反[7]

涉及房地产营销对库存影响的研究,学者们主要从房地产供给、房屋租赁、空置率和销售创新几个方面进行了讨论。沈孝强等基于供需理论建立了房地产库存消化能力评价模型,并进一步分析了市场供求政策对库存的影响,指出依据库存风险的高低可将我国划分为库存风险较低、可控、较高和恶化4类区域,中央政府和各地区政府应根据不同区域的特点采取差异化的调控措施[8]。Ling等从房屋租赁强度及股票投资收益入手,通过构建房地产销售灵敏度模型分析了房地产销售灵敏度与房屋租赁、股票贝塔系数之间的关系,最后从房屋租赁强度和股票收益角度提出了房地产去库存的意见建议[9]。王小广认为,我国的房地产库存分为增量和存量两种,单单关注增量库存会忽略我国房地产库存的严重程度;去库存必须既针对增量库存,又要重视存量库存(房屋总空置率);去除房地产库存的核心是减少总空置率,即使新建住房和大量的存量空置住房被全面有效地消化[10]

除上述主要关注点外,一些学者也从其他角度对房地产库存的影响因素进行了研究。向为民等通过分析我国31个省份近十年房地产库存的时间面板数据指出,对房地产库存影响最为明显的两个因素是城镇年均房地产投资额和市场中开发商个数[11]。Julien认为,房地产泡沫化是影响高库存的主要原因,房地产持续泡沫化将会制约国民经济的发展,从而使整体经济面临瓦解[12]

二、单因素分析

1. 模型构建

本文在王先柱等关于区域性房地产库存研究的基础上[13],结合市场均衡理论分析认为:如果房地产顾客只对房地产价格有偏好,当房地产的实际价格高于顾客预期价格时,顾客会降低购买住房的欲望,导致房地产市场供大于求,房地产库存压力增加;当房地产住房的实际价格低于顾客预期价格时,顾客对房地产的购买热情增加,积极投资房地产,促使房地产市场供不应求,房地产库存压力减少;当房地产住房的实际价格接近于顾客预期价格时,顾客对房地产价格的偏好不会对购房热情产生影响,房地产市场供求相对平衡,房地产库存压力适中。

由此,构建房地产库存单因素压力指数模型,即

(1)

式中:P为住房的实际价格;Ep为顾客对房地产价格的平均预期。

2. 模型分析

由单因素房地产压力指数模型可知,该压力指数值越大,说明库存压力越大,反之则表明库存压力越小。如果将价格作为房地产库存的主要影响因素,当房地产顾客主要偏好房地产价格时,只要缩小顾客对房地产价格的预期与开发商定价之间的差额,就会使顾客对住房产生价格偏好,提高顾客的购买积极性,进而有效缓解库存压力。

单因素库存压力指数模型完全建立在顾客预期房地产价格的基础上,弥补了以往库存研究忽略顾客价格偏好因素的不足,简洁直观地分析出顾客预期房地产价格与开发商定价之间的差距对房地产库存的影响,得出的结论与意见建议具有很强的针对性。但是运用单因素库存压力指数模型对库存问题的分析不够全面,其仅研究了顾客对房地产价格的偏好预期。开发商如果不能在价格上满足顾客的预期,顾客就会减少对房地产的投资甚至不会购买,这种局面无疑是不符合实际情况的,会对开发商产生错误的引导。为了使研究更加全面和科学,本文将在单因素库存压力指数的基础上建立多因素库存压力指数模型,基于顾客偏好的视角对多个主要偏好因素进行分析,力求综合衡量顾客偏好因素对房地产库存的影响。

三、多因素分析

顾客对房地产的偏好是多种因素共同作用的结果。Vijay等的研究表明,房地产顾客偏好的主要因素有:质量因素(包含产品功能和产品使用寿命)、价格因素、品牌知名度、服务水平和时尚程度等,并指出在房地产市场运行的过程中,房地产的质量与价格是顾客偏好最多的因素[14]。此外,张成军等在其相关研究中也特别强调,服务技术创新与服务水平提升有利于增强企业的核心竞争力[15]。因此,本文将从房地产价格、房地产质量和房地产售后服务入手,建立多因素库存压力指数模型。考虑到去库存要在保障顾客及开发商效益的前提下进行,本文首先基于顾客偏好因素,引用Tan等关于不完全信息多维博弈的分析[16],建立三维顾客偏好博弈模型,研究影响顾客及开发商效益的因素,并在博弈的基础上构建多因素库存压力指数模型。

1. 三维博弈模型的基本假设

(1) 顾客和开发商之间为不完全信息博弈,双方均理性选择使自身效益最大化的决策。

(2) 影响房地产顾客偏好的主要因素有房地产价格预期(pi)、房地产质量预期(mi)、房地产售后服务预期(fi)。

(3) 本文研究房地产开发商个体的效益,其效益函数表示为

(2)

式中:ei1ei2ei3(i=1,2,…,n)表示第i个房地产顾客对房地产价格、质量、售后服务的购买后平均预期使用效益;ΑΒΓ分别表示开发商对三个主要影响因素的偏好;μ01μ02μ03分别表示三种主要偏好因素对房地产顾客产生的效用。

(4) 顾客i的房地产偏好函数表示为

(3)

式中:αiβiγi分别表示顾客对三个主要影响因素的偏好比例系数,且αi+βi+γi=1。

(5) 成本、支出约束条件。开发商的成本约束条件为μ01+μ02+μ03c,即开发商让顾客得到的效益要不超过开发商的成本;顾客的支出约束条件为ei1+ei2+ei3e,即顾客的预期使用效益小于等于顾客的支出。

2. 不完全信息三维博弈模型

(1) 对开发商和顾客的效用函数取对数,求二者的效用最大化函数,计算公式分别如式(4)、(5)所示:

maxln T(μ01μ02μ03)
s.t.μ01+μ02+μ03c

(4)

maxln U(ei1ei2ei3)
s.t.ei1+ei2+ei3e

(5)

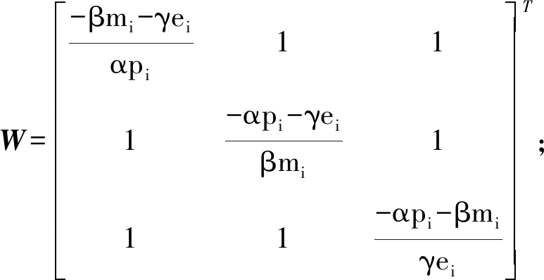
为了方便计算最优解,本文构造C为成本矩阵;E为支出矩阵;G为偏好因素预期两两加和矩阵;VVi为开发商、顾客的每个因素偏好系数与另两个因素偏好加和的比重矩阵;ZZi为开发商、顾客三个因素偏好加和与每个因素偏好的比重矩阵;QZ与单位矩阵的乘积;WZ矩阵转换之后得到。

根据上述推理分别建立开发商和房地产顾客的反应函数,如式(6)、(7)所示:

Q-1W[ei1,ei2,ei3]T

(6)

(7)

式中:

G=[mi+ei,pi+ei,mi+pi]T

C=[c,c,c]TE=[e,e,e]TQ=Z×I

Qi=Zi×I(I是单位矩阵);

综上所述,所建模型的纳什均衡为

(8)

(9)

则纳什均衡最优解为

由反应函数可知,纳什均衡最优解由顾客偏好比例系数和顾客购买前平均预期共同决定,即纳什均衡解最终求出的关键参数是顾客对三个因素的最佳偏好比例系数和顾客的最佳预期。

3. 博弈结果分析

由三维博弈模型可以清楚地看出,顾客和开发商对不同顾客偏好因素的选择,共同决定了双方对偏好因素的选择和所获得效益的大小。博弈模型的均衡最优解表示,在房地产顾客和开发商对三个主要因素的偏好比例系数及房地产顾客对三个主要因素的购买前平均预期的共同作用下,房地产顾客才能够准确选择自己关注的因素,开发商才能够准确掌握并预测顾客的偏好因素,由此双方可以有效实现最大效益。

4. 库存压力模型分析

基于上述博弈的结论,保证在效益最大化的前提下缓解库存压力,构建含有因素偏好比例系数及顾客对各因素预期的多因素库存压力模型,即

则多因素库存压力模型可以简化为

(10)

式中:M为住房实际质量指标;F为售后服务水平实际指标。

根据对模型的理论分析可知:

(1) 当时,房地产顾客趋向于偏好房地产价格因素,说明房地产实际价格与顾客预期价格的差距大小决定了此时房地产库存压力的大小。

(2) 当时,房地产顾客趋向于偏好质量因素,说明房地产实际价格与顾客预期价格的差距决定了此时房地产库存压力的大小。

(3) 当时,房地产顾客趋向于偏好售后服务因素,说明房地产实际价格与顾客预期价格的差距决定了此时的房地产库存压力的大小。

(4) 当三者权重近乎相等时,说明顾客对房地产价格、质量与服务的偏好差异不大,此时三个因素预期与实际的差距对库存的影响比较明显。

为了验证模型的实用性与科学性,本文对抽象的指标进行量化,以房地产业主产权年限(我国大部分居住类房地产土地使用权为70年)量化质量指标,以物业管理费(包括基础条件、公共秩序维护、保洁等费用,费用与物业服务质量成正比)量化售后服务指标。由于我国房地产市场具有较强区域性特点,本文选取2017年辽宁省部分城市房地产数据为分析对象,通过调查得到相应的顾客偏好系数及产品预期(假设顾客预期不变),具体数据如表1~4所示。

表1 2017年辽宁省各城市房价均价 元/m2

大连市沈阳市丹东市锦州市铁岭市朝阳市阜新市10495799956925141403647463784

数据来源:安居客房价频道。

表2 辽宁省各城市物业管理费平均水平 元/(月·m2-1)

大连市沈阳市丹东市锦州市铁岭市朝阳市阜新市0.850.750.700.550.450.600.35

数据来源:辽宁物业网。

根据多因素库存压力模型,得出2017年辽宁省库存压力指数,具体如表5所示。

表3 房地产顾客各因素预期均值

城市房价元/m2业主产权年物业管理费元/(月·m2-1)大连市10000700.85沈阳市7550650.70丹东市5200650.60锦州市5050600.55铁岭市4000700.40朝阳市4500600.50阜新市3550600.35

表4 房地产顾客各因素偏好系数

城市房地产价格偏好系数房地产质量偏好系数房地产售后服务水平偏好系数大连市0.50.30.2沈阳市0.40.40.2丹东市0.40.30.3锦州市0.50.20.3铁岭市0.50.40.1朝阳市0.70.20.1阜新市0.60.30.1

表5 2017年辽宁省库存压力指数

大连市沈阳市丹东市锦州市铁岭市朝阳市阜新市0.04700.05630.08630.01840.00880.05220.0626

由表5可知,在缩小库存压力的过程中,开发商需要根据顾客偏好因素调整策略,主要分以下几类。

(1) 除沈阳、丹东外,大部分城市的房价偏好系数均大于0.5。库存压力主要由房价因素决定,因此对于该城市的开发商和政府而言,将去库存的重点放在对房价的调控上会收到一定成效。在大连、沈阳、丹东,顾客对房价的预期与实际房价之间的差异均超过了400元/m2,而铁岭与锦州这类城市差异很小,库存压力指数相对比较低。可见,缩小房价预期与实际的差距对降低库存压力至关重要。

(2) 沈阳、铁岭两地对于住房质量的偏好程度较高,均为0.4。对于此地区的房地产顾客,开发商和政府要格外重视住房质量的提高,以吸引购买者。

(3) 关于物业费的偏好,最高的系数仅为0.3,比重相对较小,预期与实际差距相近,对库存压力指数的影响不是很大。另外,物业费多由当地物价决定,开发商可以在合理价格内提升物业服务水平,提高市场竞争力。

(4) 对于沈阳和丹东,顾客对各个因素的偏好系数差距较小,但库存压力指数却不小,开发商必须从多方面提升住房品质,缩小各个因素预期与实际的差距。

四、结论及建议

1. 结 论

(1) 根据单因素模型分析的结果可知,房地产价格与库存压力的大小息息相关。顾客预期房价与开发商对房地产实际定价之间的差额决定了房地产库存压力的大小,即差距越小房地产库存压力越小,反之亦然。

(2) 根据多因素模型的分析结果,房地产市场中的顾客按照因素偏好比例系数和对不同因素的预期可以分为四个不同的群体,即房地产价格偏好型顾客、房地产质量偏好型顾客、房地产售后服务水平偏好型顾客和综合因素偏好型顾客。面对不同的顾客群体,政府与开发商在采取政策和决策时要有针对性。

(3) 根据博弈的最优纳什均衡解,在保证顾客及开发商效益的前提下,房地产开发商需要尽力迎合顾客的预期,相关决策要尽力与顾客偏好比例系数保持一致,即针对顾客对不同因素的偏好系数大小缩短实际与顾客预期之间的差距,这样才能有效缩小库存压力。

2. 建 议

(1) 针对房地产价格敏感型顾客的建议。当房地产市场中对房地产价格比较偏好的顾客占大部分时,政府与开发商要重点控制房地产价格,合理调整投入到建筑质量与售后服务上的成本。首先,政府要从政策上控制房地产价格和土地交易量,不要盲目地过多地开发土地,保证土地科学规划、合理利用,并通过投标费、保证金等约束开发商行为。其次,政府要刺激房地产顾客消费,通过引导开发商降低房地产价格、保障住房公积金、推动租赁市场、加快住房保障方式转变等政策,避免房地产价格对顾客购买预期的过度刺激。最后,政府在宏观调控价格的过程中不能忽略对房地产建筑质量的监管,要严格按照国家规定例行监督质量问题。对于大众化的商品房,开发商在保证建筑质量的基础上适当控制成本,产品不一定要过于高档,满足顾客基本需求即可。在销售过程中,可以适当地将售后服务费用以购房福利的形式优惠给顾客,使顾客的售后服务成本降低,如买楼送物业服务若干年、买楼送商铺使用权、买房免若干年楼盘管理费、买房免(代缴)相关税费、首付抵物业费、装修款抵首付等。

(2) 针对房地产质量偏好型顾客的建议。当房地产市场中偏好房地产建筑质量的顾客占大部分时,政府与开发商要将质量放在第一位,协同好对房地产价格与售后服务费用的控制。在房地产的开发、设计、施工、安装阶段,在成本允许范围内,政府监管部门和开发商质量监理部门要严把质量关,尤其是房地产施工建设和设备安装环节,直接关系到房地产使用者的人身财产安全,不能为了降低成本而在质量上偷工减料。质量上的高标准严要求虽然会导致房地产成本上升,但高质量也会为售后服务提供便利,有利于售后服务费用的节省,从一定程度上减少了顾客的成本。

(3) 针对售后服务水平偏好型顾客的建议。开发商要在保证质量过关、价格合理的基础上为顾客提供周到的售后服务。对于不同层次的房地产产品,顾客也有着不同的售后需求,开发商要有针对性地选择服务形式,因人而异、因需而异。在长期的售后服务中,开发商要保证物业管理水平,跟踪了解顾客住房情况,与顾客建立良好的互动关系,与物业服务企业保持良好的沟通,做到维修及时。因为售后服务水平的提高会导致房地产成本的增加,开发商可以把促销方案的制定重点从降低价格转移到为顾客提供更高水平的售后服务上来,既保障了开发商的利益,又满足了顾客对售后服务的偏好。

(4) 针对综合因素偏好型顾客的建议。政府和开发商要均衡控制各个因素,平衡好三个主要偏好因素之间的连带关系。政府主要负责土地供应调整、货币政策的宏观调控及建筑质量监管;开发商则要把开发资金用在刀刃上,不做无必要的投资,开发符合市场发展与顾客偏好的产品,制定合理的销售方案,不能因为侥幸心理而忽略任何一个重要因素。

参考文献:

[1] Munneke H J,Ooi J T L,Sirmans C F,et al.Real estate agents,house prices,and liquidity [J].Journal of Real Estate Finance & Economics,2015,50(1):1-33.

[2] Soyeh K W,Wiley J A,Johnson K H.Do buyer incentives work for houses during a real estate downturn? [J].Journal of Real Estate Finance & Economics,2014,48(2):380-396.

[3] 张协奎,邬思怡.我国利率波动对商品住宅库存影响的动态研究:基于供给侧改革下房地产去库存的分析 [J].价格理论与实践,2016(11):110-113.

[4] 周飞虎,邵明艳,逄锦雪.金融支持房地产去库存面临的制约因素:以吉林省为例 [J].吉林金融研究,2016(1):42-44.

[5] Amber F.The real estate inventory:advice for young buyers and government [J].Business People,2017(3):46-49.

[6] Zelas K.Real estate agents foresee year of low inventory,low expectations [J].Investor’s Business Daily,2016(12):1-2.

[7] 申博.“去库存”视角下房地产行业对区域金融稳定的影响:基于空间面板模型的实证研究 [J].河北经贸大学学报,2016,37(3):61-66,101.

[8] 沈孝强,吴次芳.中国商品住宅库存及其消化能力研究 [J].中国土地科学,2015(9):73-80.

[9] Ling D C,Naranjo A,Ryngaert M.Real estate ownership,leasing intensity,and value:do stock returns reflect a firm’s real estate holdings? [J].Journal of Real Estate Finance & Economics,2012,44(1-2):184-202.

[10] 王小广.房地产库存问题与去库存对策 [J].理论探索,2017(2):16-27.

[11] 向为民,王霜.房地产“去库存”与对应取向 [J].改革:宏观经济与微观运行,2016(6):111-119.

[12] Julien M.The role of the media in sustaining Ireland’s housing bubble [J].New Political Economy,2014(1):52-59.

[13] 王先柱,吴义东.我国房地产市场去库存的区域性研究 [J].价格理论与实践,2016(5):89-92.

[14] Vijay K G,Gunjan M.Determining customers’ pre-ferences for housing attributes in India [J].International Journal of Housing Markets and Analysis,2016(4):502-519.

[15] 张成军,崔兴文.基于服务创新理论的服务化制造模式 [J].沈阳工业大学学报(社会科学版),2017(1):19-22.

[16] Tan D,Liu G Z.Multi-dimensional cornet model with incomplete information and analysis [J].Operations Research Transactions,2006(3):74-75.

Analysis of real estate inventory in China based on propensity to consume

XIAO Meng, WANG Dan

(School of Management, Shenyang University of Technology, Shenyang 110870, China)

Abstract In recent years, high inventory of real estate has become an urgent problem that should be solved as soon as possible. Using the theory of market equilibrium, the single factor inventory pressure model is built from the perspective of propensity to consume, and the impact of real estate expected price of customers on inventory is analyzed. Based on the above analysis, a three-dimensional game model is built based on the game theory. The multiple factor inventory pressure model is set up according to the result of the game analysis, and the impact of price, quality, service on real estate inventory is studied. It is proposed that the inventory pressure is affected not only by the actual prices of real estate, but also by the expectations of customers and developers to the three main factors of price, quality, and service on real estate and the propensity to consume.

Key words propensity to consume; market equilibrium; real estate; inventory pressure; multi-dimensional game

中图分类号: F 293.33

文献标志码:A

文章编号:1674-0823(2019)03-0263-06

doi:10.7688/j.issn.1674-0823.2019.03.10

收稿日期 2018-07-17

基金项目 辽宁省高等学校基本科研项目(WQGD2017015)。

作者简介 肖 萌(1980-),女,辽宁沈阳人,讲师,博士,主要从事项目管理等方面的研究。

*本文已于2018-11-20 08∶55在中国知网优先数字出版。 网络出版地址: http:∥kns.cnki.net/kcms/detail/21.1558.C.20181119.1525.022.html

(责任编辑:张 璐)