随着经济的发展及服装产品间竞争的加剧,消费者对服装的需求已不仅仅停留在穿着的基本层面,而是更加追寻品牌体验、个性感知等精神层面的需求。在这种背景下,为了提高期望利润,企业通常采用动态定价的方式进行销售,即零售商会在销售期内根据市场情况及时调整商品价格来吸引顾客购买,消费者也会根据商品价格走势等市场信息选择购买时机以最大化自己的剩余,这就导致市场上消费者越来越具有策略性。以往关于消费者策略行为的动态定价研究很多。例如:李贺等研究了存在策略消费者行为的产品两阶段动态定价问题[1];李豪等基于顾客策略程度和顾客购买意愿对易逝品动态定价策略的影响等问题进行了研究[2];官振中等将消费者的策略性行为与参考价格效应相结合,研究了零售商的多阶段动态定价问题[3];张新鑫等考虑了顾客的策略行为对两周期供应链动态定价策略的影响[4];李宗活等研究了短视型和策略型消费者并存时的双渠道供应链动态定价策略[5]。但上述文献多研究单产品的多阶段定价,关于多产品定价问题,以往大多文献研究的是多厂商的情形。例如:Liu等研究了存在策略性消费者时,两个提供纵向差异化产品的企业之间的动态定价竞争策略问题[6];曾贺奇等研究了消费者策略行为下具有替代性产品的多厂商动态定价策略[7]。在上述研究基础上,本文研究单个厂商提供两个品牌产品时的动态定价问题。
上述对易逝品动态定价的研究虽然均考虑到消费者策略行为,但却忽视了策略型消费者的偏好等因素对购买行为的影响。Rhee很早就指出,消费者在购买产品时,影响其购买决策的不仅有产品的质量和价格,还有消费者对产品其他属性的偏好[8];吴胜等分别从消费者时间偏好、渠道偏好和公平偏好等方面研究了供应链成员利润及定价决策问题[9-11]。关于消费者品牌偏好,Ebrahim等建立模型探讨了品牌偏好对品牌再购意愿的影响[12];李世杰等针对中国本土消费者对国内外产品的品牌偏好存在极大差异的问题,探究了跨国制造商在东道国市场实施转售价格控制的内生机制[13];戢守峰等考虑品牌偏好型与实体忠诚型两类消费者偏好,构建了零售商内部、混合、外部三种融资模式下双渠道供应链订货与定价策略模型[14]。上述对制造商或零售商订货定价决策问题的研究虽然都考虑到消费者品牌偏好这一因素,但均没有基于某类产品特性来考虑消费者品牌偏好的影响。基于此,本文将以服装这种具有特定性质的商品为对象,研究消费者品牌偏好对零售商定价策略的影响。
针对服装等快消品需求波动大、产品生命周期短的特点,国外许多学者利用模型和算法来优化快消品定价策略。Demiriz通过线性回归模型预测时尚产品的每周需求,构建动态定价模型以优化降价决策[15]。Choi考虑两阶段库存策略,利用贝叶斯方法来优化时尚产品库存和定价策略[16]。Cosgun等考虑了服装零售企业的多类型服装降价优化问题,利用近似动态规划算法研究了每种产品的降价策略[17]。国内学者陈啟等从体验服务努力度方面,研究了时尚服装订货与定价的联合策略[18]。考虑到消费者行为,胡觉亮等研究了策略型和短视型消费者同时存在且市场需求不确定的情况下,策略消费者比例对零售商定价与订货决策的影响[19]。本文假设市场上均为策略型消费者,研究消费者品牌偏好对服装产品动态定价策略的影响,旨在解决发展不同品牌的垄断服装厂商在考虑到消费者品牌偏好时的动态定价问题,以期为经营此类业务的零售商提供参考和借鉴。
假设市场上单个服装厂商同时上新高、低两个品牌的服装,由于高品牌服装投入更多的广告等宣传费用,因此消费者对低品牌服装的整体效用评价会低于高品牌服装。不考虑服装供应问题,将服装分为两个阶段销售,零售商首先根据市场状况确定高、低服装在第一阶段的销售价格,再根据消费者偏好程度调整服装价格进行第二阶段销售,以迎合消费者预期和寻求利润最大化。相关符号及定义如表1所示。
表1 符号及定义
符号定义i不同品牌服装,i=H,L;H表示高品牌服装,L表示低品牌服装t阶段,t=1,2Pti第i阶段的商品价格V消费者的支付意愿,服从[0,1]均匀分布δ消费者估值折扣系数γ第一阶段购买比例1-γ第二阶段购买比例β高、低品牌服装效用感知差异x消费者品牌偏好c成本qti第i阶段的需求量
假设市场需求是确定的,市场上潜在消费者整体数量为N,且均为策略型消费者,每个消费者至多只能买1件服装。为进一步刻画消费者购买心理,构建相应的效用函数,使模型分析更加简洁且不失一般性,本文作出以下假设:
假设1 PtH、PtL分别为高、低品牌服装产品的零售价格,消费者服装品牌偏好因子为χ(0<χ<1),消费者对高品牌服装偏好用高品牌偏好因子χH表示、对低品牌服装偏好用低品牌偏好因子χL表示。假设市场被H、L完全覆盖,即χH+χL=1。高品牌服装成本为cH,低品牌服装成本为cL。
假设2 在第一阶段购买服装的消费者占总量的比例为γ(0<γ<1),即总数为γN,则第二阶段购买服装的消费者总数为(1-γ)N。
假设3 消费者对高品牌服装的支付意愿为V,且V在[0,1]上服从均匀分布,对低品牌服装的支付意愿为βV,β(0<β<1)为消费者对高、低品牌服装的支付意愿差异因子,即消费者对高品牌服装的评价更高。消费者在第一阶段购买高品牌服装的效用函数为U1H=V+χH-P1H,在第一阶段购买低品牌服装的效用函数为U1L=βV+χL-P1L。
假设4 在第二阶段,消费者购买高品牌服装的跨期折扣因子为δ(0<δ<1),δ可以看成消费者策略程度,δ越大消费者策略程度越高;由于消费者心理对低品牌服装跨期效用评价会低于高品牌服装,因此低品牌服装的跨期折扣定价因子为λδ(0<λ<1),此时购买高、低品牌服装效用函数分别为U2H=δ(V+χH-P2H)和U2L=λδ(βV+χL-P2L)。
根据基本假设,构建的第一阶段销售模型为
U1H=V+χH-P1H
(1)
U1L=βV+χL-P1L
(2)
(3)
(4)
服装厂商在第一阶段销售高、低品牌服装的利润分别为
∏1H=(P1H-cH)q1H
(5)
∏1L=(P1L-cL)q1L
(6)
服装等季节性产品在市场上经过一段时间销售后,其热度就会大打折扣,策略型消费者会更理智地选择购买,同时心理上会产生跨期折扣因子δ和λδ。此时消费者购买高品牌服装的效用函数为
U2H=δ(V+χH-P2H)
(7)
消费者购买低品牌服装的效用函数为
U2L=λδ(βV+χL-P2L)
(8)
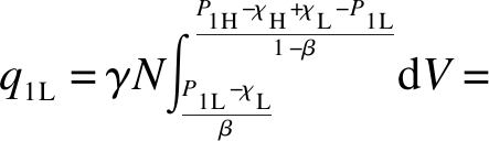
与第一阶段销售模型一致,不考虑
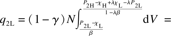
的情形,只有在U2H>0且U2H>U2L时,消费者会在第二阶段购买高品牌服装。当U2L>0且U2L>U2H时,消费者会购买低品牌服装。结合式(7)、(8)可以得到第二阶段高品牌服装和低品牌服装的销量分别为
(9)
![]()
(10)
服装厂商在第二阶段销售高、低品牌服装的利润函数分别为
∏2H=(P2H-cH)q2H
(11)
∏2L=(P2L-cL)q2L
(12)
本文采用逆向归纳法求解销售商的两阶段最优定价,首先通过建立服装零售商第二阶段利润最大化模型,求解高、低品牌服装第二阶段最优价格;然后通过建立销售商总利润最大化模型求解第一阶段两产品最优价格。
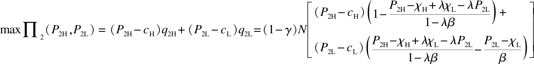
根据模型建立和描述可以看出,联立式(11)、(12)得到服装厂商在第二阶段的最大化利润模型为

(13)
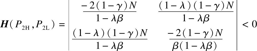
求解模型得出最优解。求∏2关于P2H和P2L的海赛矩阵为
由于0<λ<1,0<β<1,0<γ<1,可判定海赛矩阵负定,此函数为严格凹函数,可在驻点处取得最大值。根据一阶偏导数及约束条件求最大值,公式为

(14)
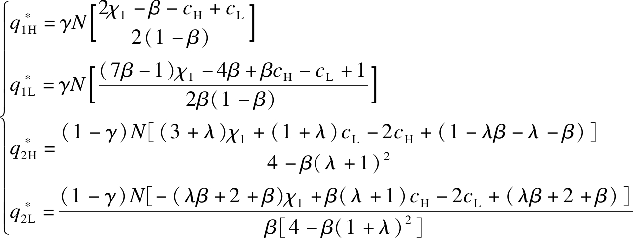
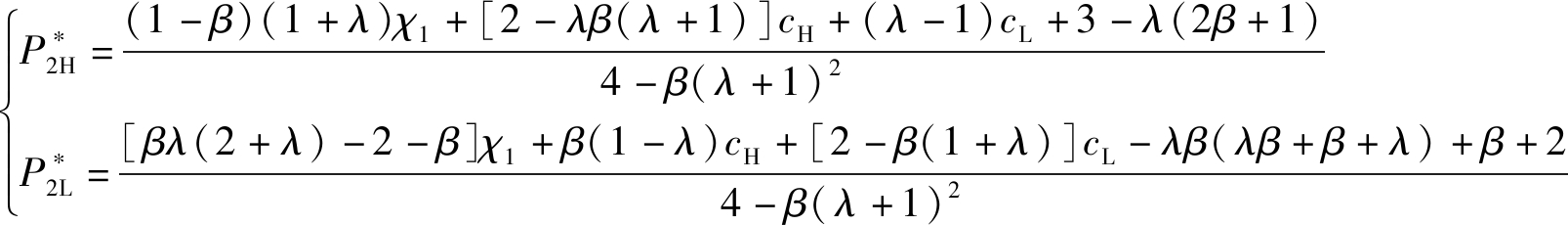
令χH=χ1,则χL=1-χ1,由此可得第二阶段最优定价为
(15)
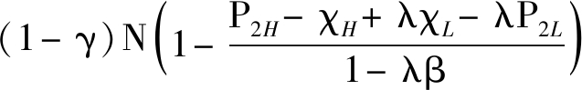
由式(12)、(15)可以得到第二阶段高、低品牌服装产品销售利润为
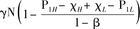
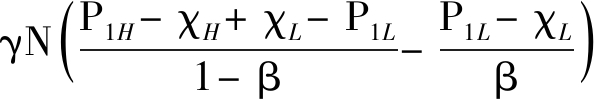
在销售的第一阶段购买服装的人数占比为γ,策略型消费者可根据效用最大化来决定购买高品牌服装或者低品牌服装。消费者两阶段总利润为第一、第二阶段利润之和,由此可得服装厂商总销售最大化利润模型为
![]()
![]()
(16)
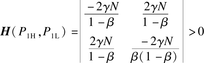
将在第二阶段求得的
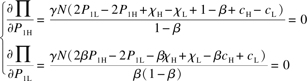
代入式(14),求得∏(P1H,P1L)关于P1H,P1L的海赛矩阵为
且可判断该函数为严格凹函数,可在驻点取最大值。利用一阶偏导数及约束条件求出最优解,即
(17)
解公式(17)可得高、低品牌服装在第一阶段的零售价格分别为![]()
由假设1可知χH+χL=1。令χH=χ1,则χL=1-χ1,此时能够得到高、低品牌服装两阶段最优定价为
经过计算可知,在整个销售过程中高品牌服装的零售价格
都随消费者品牌偏好χ1的增大而增大;而低品牌服装零售价格
都随消费者偏好χ1的增大而减小,具体证明过程略。
将上述求得的最优价格
代入式(3)、(4)、(9)、(10)中,可以得到高、低品牌服装在原价期及折扣期的最优销售量分别为

(18)
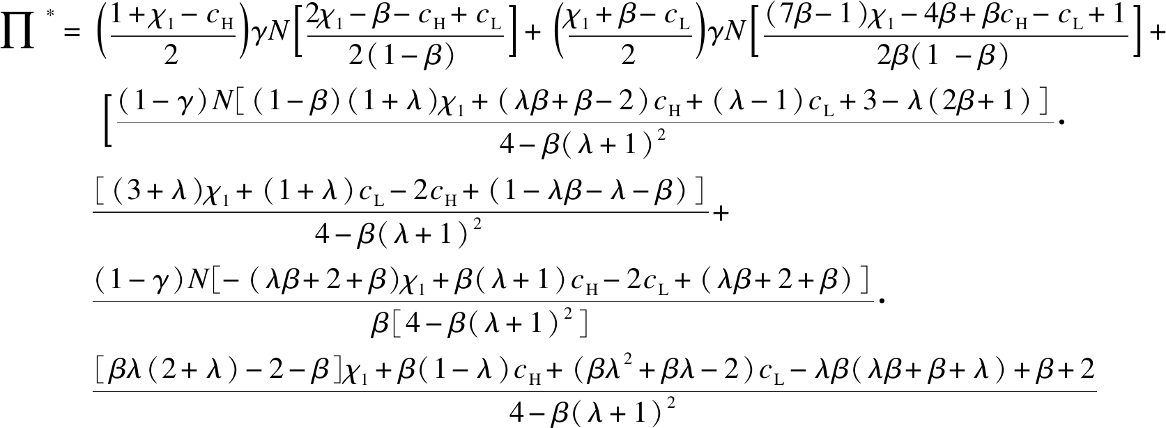
得到服装厂商在第一阶段和第二阶段销售高、低品牌服装的最优总利润为
由此可知:在第一阶段,高、低品牌服装最优销量都随消费者品牌偏好χ1的增大而增大;在第二阶段,高品牌服装最优销量
随χ1的增大而增大;低品牌服装最优销量
随χ1的增大而减小,具体证明过程略。
为探究消费者品牌偏好、支付意愿等相关参数与同时销售高、低品牌服装的垄断服装厂商最优利润之间的关系,进行数值分析。假设cL=0.3,γ=0.4,N=100,考虑到高品牌服装前期要投入大量的宣传费用,故选取cH=0.7,λ=0.7,对参数χ1和β对垄断服装厂商总利润的影响展开进一步研究。
研究β分别为0.3、0.6、0.9时垄断服装厂商最优利润随参数χ1的变化情况,如图1所示。
图1 消费者品牌偏好对两阶段利润的影响
由图1可知,给定一个β值,两阶段最优利润随消费者品牌偏好的增大而增大。β越大,意味着消费者对低品牌服装的支付意愿越强烈,在消费者心中对高、低两品牌服装的评价差异越小。随着参数χ1的不断增加,具有高品牌偏好的消费者更加忠于高品牌服装。此时,服装厂商最好的定价策略是在第二阶段提高高品牌服装价格,同时降低低品牌服装价格。当β=0.9时,消费者对低品牌服装的支付意愿更高,这是因为高、低品牌服装来自同一个厂商,因此某一个高端品牌的火爆会给厂商推出的其他品牌带来一种品牌效应。随着消费者品牌偏好的增大,追求高端品牌的消费者大多会在第二阶段以最高的价格购买高品牌服装,这也是很多奢侈品价格远远超出商品本身价值依然销售得非常火爆的原因;而对于认为高品牌服装价格过高的消费者来说,他们为寻求更高的性价比而选择在第一阶段购买低品牌服装。高、低品牌服装都在价格相对较高的阶段销量较多,因此相较于β=0.3或0.6时,厂商利润增加的幅度明显较大。
研究χ1分别为0.3、0.6、0.9时垄断服装厂商最优利润随参数β的变化情况,如图2所示。
图2 消费者效用感知差异对两阶段利润的影响
由图2可知,当χ1=0.3时,消费者品牌偏好较低,而高、低品牌服装第一阶段的定价不可能低于服装的成本价格。随着参数β的不断增大,消费者对低品牌服装的支付意愿增加。两品牌服装在第一阶段几乎没有销量,策略型消费者为追求效用最大化而选择在第二阶段购买降价后的低品牌服装,但最终第二阶段销售低品牌服装增加的利润无法弥补高品牌服装带来的损失,导致零售商的总利润不断降低。当χ1=0.6或0.9时,消费者具有较高的品牌偏好度,服装厂商最优定价策略为在服装销售的第二阶段提高高品牌服装价格,同时降低低品牌服装价格。在β不断变大的过程中,第一阶段低品牌服装的销量也在不断增长,因此服装厂商总利润增加,且χ1=0.9时的利润明显大于χ1=0.6时的利润。这也进一步说明了对于服装等快时尚产品,大力提高品牌知名度、扩大影响力进而增加消费者对品牌偏好的重要性。
本文研究了考虑消费者品牌偏好的服装产品的动态定价问题。通过构建消费者效用模型和垄断厂商利润最大化模型,分别求出高、低品牌服装在第一、二阶段的最优价格及最优销量,进而得出服装厂商的最优总利润。研究结果表明:首先,消费者品牌偏好的增加会明显增加服装厂商利润。这是因为服装厂商同时经营两个品牌,当其中一个品牌具有较高的知名度时,会提高另一个品牌在消费者心中的美誉度,降低一些消费者的策略性,促使其以更高的价格购买该厂商服装,从而使垄断服装厂商总利润越来越高。其次,服装厂商总利润不仅与消费者品牌偏好有关,而且受到消费者支付意愿的影响。β越大,意味着在消费者心中对两个品牌的评价差异越小。当品牌偏好较低时,消费者不会以太高的价格购买服装而只会选择在降价时购买,这时零售商利润就会不断降低。当品牌偏好达到一定程度时,消费者会形成另一个极端心理,即不再追求服装本身的价值,而是追求品牌带来的附加价值,选择用较高的价格来购买服装,此时零售商利润会呈现出非常显著的增长趋势。最后,对于垄断品牌服装厂商来说,最好的价格策略就是在大力宣传品牌形象、促使消费者形成较高品牌偏好的前提下,提高高品牌服装价格,降低低品牌服装价格。
本文研究结果同样也启示发展服装等快时尚品牌产品的企业,要想提高销量、增加利润,就要努力增加消费者对自身品牌的偏好度,积累更多的品牌忠实消费者[20]。以后的研究中,在只考虑垄断服装厂商情形的基础上,可以进一步考虑存在市场竞争情形时各相关厂商的定价问题。
[1] 李贺,张玉林,仲伟俊.考虑战略消费者行为风险的动态定价策略 [J].管理科学学报,2012,15(10):11-25.
[2] 李豪,高祥,杨茜.需求不确定下考虑顾客策略行为的易逝品定价策略 [J].工业工程,2019,22(2):10-18.
[3] 官振中,任建标.存在策略消费者的动态定价策略 [J].系统工程理论与实践,2014,34(8):2018-2024.
[4] 张新鑫,申成霖,侯文华.基于顾客策略行为的两周期供应链动态定价,契约协调与利润分配机制 [J].系统科学与数学,2016,36(2):183-197.
[5] 李宗活,杨文胜,司银元,等.短视型与策略型消费者并存的双渠道两阶段动态定价策略 [J].系统工程理论与实践,2019,39(8):2080-2090.
[6] Liu Q,Zhang D.Dynamic pricing competition with strategic customers under vertical product differentiation [J].Management Science,2013,59(1):84-101.
[7] 曾贺奇,张玉林.考虑消费者策略行为及产品具有替代性的多厂商定价 [J].系统工程,2017,35(1):130-137.
[8] Rhee B D.Consumer heterogeneity and strategic qua-lity decisions [J].Management Science,1996,42(2):157-172.
[9] 吴胜,雒兴刚,陈振颂,等.需求依赖于产品价格和消费者时间偏好的定价与订货决策 [J].控制与决策,2016,31(9):1594-1602.
[10] 赵静,肖亚倩.不同渠道偏好和运营成本下双渠道闭环供应链定价决策研究 [J].运筹与管理,2018,27(12):108-114.
[11] 刘静,聂佳佳,袁红平.消费者公平偏好对制造商开通直销渠道的影响研究 [J].运筹与管理,2020,29(6):220-227.
[12] Ebrahim R,Ghoneim A,Irani Z,et al.A brand prefe-rence and repurchase intention model:the role of consumer experience [J].Journal of Marketing Management,2016(2):1-30.
[13] 李世杰,蔡祖国.建议零售价、消费者偏好偏离与转售价格控制 [J].管理世界,2016(12):133-144.
[14] 戢守峰,姜力文,赵丹.不同融资模式下考虑消费者偏好的双渠道供应链订货与定价策略 [J].工业工程与管理,2017,22(4):1-9.
[15] Demiriz A.A date mining-based framework for multi-item markdown optimization [M].Singapore:Springer,2018:47-70.
[16] Choi T M.Pre-season stocking and pricing decisions for fashion retailers with multiple information updating [J].International Journal of Production Economics,2007,106(1):146-170.
[17] Cosgun Ö,Kula U,Kahraman C.Markdown optimization for an apparel retailer under cross-price and initial inventory effects [J].Knowledge-based Systems,2017,120(1):186-197.
[18] 陈啟,徐琪.体验服务努力下时尚服装零售商库存与定价优化决策 [J].管理学报,2018,15(10):1089-1097.
[19] 胡觉亮,郭瑞,韩曙光,等.基于策略消费行为的服装定价与订货决策研究 [J].浙江理工大学学报(社会科学版),2015(2):136-141.
[20] 赵静,李影婕,王秀兰.基于价格和服务竞争的传统零售商与电子零售商信息分享问题研究 [J].沈阳工业大学学报(社会科学版),2020,13(2):97-104.